【药物名称】
化学结构式(Chemical Structure):
参考文献No.42157
标题:alpha1a Adrenergic receptor antagonists
作者:Selnick, H.G.; Nantermet, P.G.; Barrow, J.C. (Merck & Co., Inc.)
来源:WO 0006565
合成路线图解说明:

Catalytic hydrogenation of tetrahydropyridine (I) produced piperidine (II). Alkylation of (II) with N-(3-bromopropyl)phthalimide (III) gave (IV). Subsequent hydrazinolysis of the phthalimido group of (IV) yielded amine (V). In a related procedure, piperidine (II) was alkylated with N-Boc-3-bromopropylamine (VI) to give (VII), which was deprotected with HCl in EtOAc to give the diamino precursor (V).

合成路线图解说明:

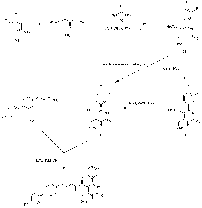
The cyclization between 3,4-difluorobenzaldehyde (VIII), methyl 4-methoxyacetoacetate (IX) and urea (X) in the presence of cuprous oxide and boron trifluoride etherate gave rise to racemic pyrimidinone (XI). Optical resolution of (XI) by means of chiral HPLC furnished the desired (-)-enantiomer (XII), which was then hydrolyzed to carboxylic acid (XIII). Alternatively, kinetic resolution of (XI) by enzymatic hydrolysis using subtilistin furnished the desired (-)-carboxylic acid (XIII), which was then separated from the unreacted (+)-ester. Finally, coupling of carboxylic acid (XIII) with amine (V) using EDC and HOBt yielded the title amide.

参考文献No.572884
标题:Dihydropyrimidinone C-5 amides as potent and selective alpha1A receptor antagonists
作者:Rittle, K.; et al.
来源:219th ACS Natl Meet (March 26 2000, San Francisco) 2000,Abst MEDI 90
合成路线图解说明:

Catalytic hydrogenation of tetrahydropyridine (I) produced piperidine (II). Alkylation of (II) with N-(3-bromopropyl)phthalimide (III) gave (IV). Subsequent hydrazinolysis of the phthalimido group of (IV) yielded amine (V). In a related procedure, piperidine (II) was alkylated with N-Boc-3-bromopropylamine (VI) to give (VII), which was deprotected with HCl in EtOAc to give the diamino precursor (V).

合成路线图解说明:

The cyclization between 3,4-difluorobenzaldehyde (VIII), methyl 4-methoxyacetoacetate (IX) and urea (X) in the presence of cuprous oxide and boron trifluoride etherate gave rise to racemic pyrimidinone (XI). Optical resolution of (XI) by means of chiral HPLC furnished the desired (-)-enantiomer (XII), which was then hydrolyzed to carboxylic acid (XIII). Alternatively, kinetic resolution of (XI) by enzymatic hydrolysis using subtilistin furnished the desired (-)-carboxylic acid (XIII), which was then separated from the unreacted (+)-ester. Finally, coupling of carboxylic acid (XIII) with amine (V) using EDC and HOBt yielded the title amide.

参考文献No.587648
标题:In vitro and in vivo evaluation of dihydropyrimidinone C-5 amides as potent and selective alpha1A receptor antagonists for the treatment of benign prostatic hyperplasia
作者:Barrow, J.C.; Nanterment, P.G.; Selnick, H.G.; Glass, K.L.; Rittle, K.E.; Gilbert, K.F.; Steele, T.G.; Homnick, C.F.; Freidinger, R.M.; Ransom, R.W.; Kling, P.; Reiss, D.R.; Broten, T.P.; Schorn, T.W.; Chang, R.S.; O'Malley, S.S.; Olah, T.V.; et al.
来源:J Med Chem 2000,43(14),2703
合成路线图解说明:

Catalytic hydrogenation of tetrahydropyridine (I) produced piperidine (II). Alkylation of (II) with N-(3-bromopropyl)phthalimide (III) gave (IV). Subsequent hydrazinolysis of the phthalimido group of (IV) yielded amine (V). In a related procedure, piperidine (II) was alkylated with N-Boc-3-bromopropylamine (VI) to give (VII), which was deprotected with HCl in EtOAc to give the diamino precursor (V).

合成路线图解说明:

The cyclization between 3,4-difluorobenzaldehyde (VIII), methyl 4-methoxyacetoacetate (IX) and urea (X) in the presence of cuprous oxide and boron trifluoride etherate gave rise to racemic pyrimidinone (XI). Optical resolution of (XI) by means of chiral HPLC furnished the desired (-)-enantiomer (XII), which was then hydrolyzed to carboxylic acid (XIII). Alternatively, kinetic resolution of (XI) by enzymatic hydrolysis using subtilistin furnished the desired (-)-carboxylic acid (XIII), which was then separated from the unreacted (+)-ester. Finally, coupling of carboxylic acid (XIII) with amine (V) using EDC and HOBt yielded the title amide.

Drug Information Express,Drug R&D,Chemical Database,Patent Search.
Copyright © 2006-2026 Drug Future. All rights reserved.Contact Us