【药物名称】
化学结构式(Chemical Structure):
参考文献No.42361
标题:Water soluble analogs and prodrugs of paclitaxel
作者:Wiegerinck, P.H.G.; Scheeren, J.W.; Damen, E.W.P.; Sperling, D.; Braamer, L.; De Vos, D. (Pharmachemie BV)
来源:WO 0010988
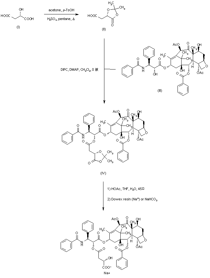
合成路线图解说明:

Malic acid (I) was protected as the 1,2-O-isopropylidene derivative (II) upon treatment with acetone in the presence of acid catalyst. Condensation of (II) with paclitaxel (III) using diisopropylcarbodiimide and DMAP produced the 2'-ester (IV). After hydrolytic cleavage of the isopropylidene protecting group of (IV), conversion to the corresponding sodium carboxylate salt furnished the title compound.

参考文献No.568745
标题:Paclitaxel esters of malic acid as prodrugs with improved water solubility
作者:Damen, E.W.P.; Wiegerinck, P.H.G.; Braamer, L.; Sperling, D.; de Vos, D.; Scheren, H.W.
来源:Bioorg Med Chem 2000,8(2),427
合成路线图解说明:

Malic acid (I) was protected as the 1,2-O-isopropylidene derivative (II) upon treatment with acetone in the presence of acid catalyst. Condensation of (II) with paclitaxel (III) using diisopropylcarbodiimide and DMAP produced the 2'-ester (IV). After hydrolytic cleavage of the isopropylidene protecting group of (IV), conversion to the corresponding sodium carboxylate salt furnished the title compound.

Drug Information Express,Drug R&D,Chemical Database,Patent Search.
Copyright © 2006-2026 Drug Future. All rights reserved.Contact Us