【药物名称】
化学结构式(Chemical Structure):
参考文献No.568744
标题:Novel potassium channel openers. Part 4: Transformation of the 1,4-benzoxazine skeleton into 1,4-benzothiazine, 1,2,3,4-tetrahydroquinoline, 1,2,3,4-tetrahydroquinoxaline, indoline, and 1,5-benzoxazepine
作者:Matsumoto, Y.; Tsuzuki, R.; Matsuhisa, A.; Yamagiwa, Y.; Yanagisawa, I.; Shibanuma, T.; Nohira, H.
来源:Bioorg Med Chem 2000,8(2),393
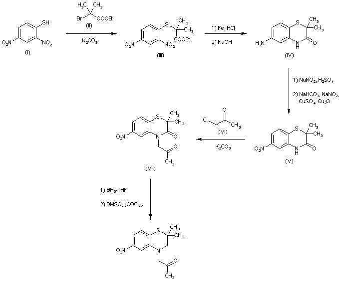
合成路线图解说明:

Alkylation of 2,4-dinitrothiophenol (I) with 2-bromoisobutyrate (II) and K2CO3 in DMF yields thioether (III), which is then subjected to reduction with Fe/HCl in EtOH/H2O, followed by ring closure with refluxing NaOH, to give benzothiazine derivative (IV). Conversion of amino compound (IV) into nitro derivative (V) is then performed via Sandmeyer reaction by first treatment with NaNO2/H2SO4 in H2O, followed by reaction with NaHCO3, NaNO2, CuSO4 and Cu2O in H2O. N-Alkylation of (V) with chloroacetone (VI) and K2CO3 in DMF provides (VII), which is finally converted into the target compound by reduction with BH3-THF complex in THF, followed by Swern oxidation with DMSO and oxalyl chloride in CH2Cl2.

Drug Information Express,Drug R&D,Chemical Database,Patent Search.
Copyright © 2006-2026 Drug Future. All rights reserved.Contact Us