【药物名称】
化学结构式(Chemical Structure):
参考文献No.568742
标题:Syntheses and cytotoxicity evaluation of bis(indolyl)thiazole, bis(indolyl)pyrazinone and bis(indolyl)pyrazine: Analogues of cytotoxic marine bis(indole) alkaloid
作者:Jiang, B.; Gu, X.H.
来源:Bioorg Med Chem 2000,8(2),363
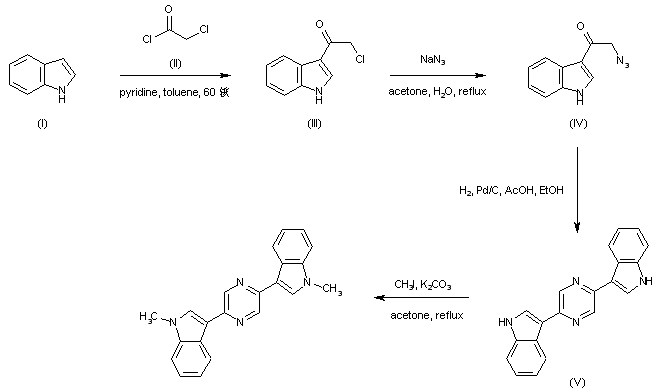
合成路线图解说明:

Reaction of indole (I) with chloroacetyl chloride (II) in the presence of pyridine in toluene afforded the chloro ketone (III). This was then treated with sodium azide in aqueous acetone to furnish the azido ketone (IV). Hydrogenation of (IV) over Pd/C in the presence of a catalytic amount of HOAc gave rise to 3,5-bisindolyl pyrazine (V). Finally, N-methylation of the indole rings with iodomethane and K2CO3 yielded the title compound.

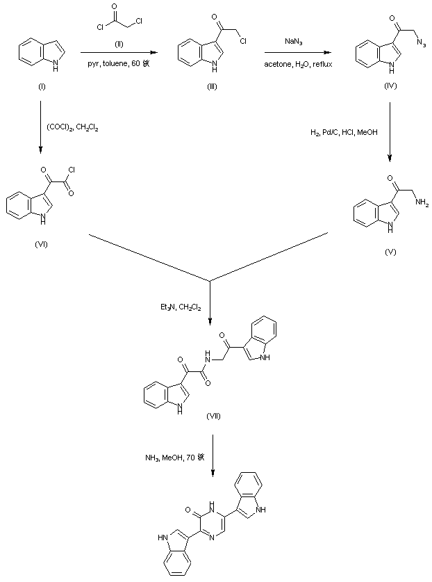
合成路线图解说明:

Reaction of indole (I) with chloroacetyl chloride (II) in the presence of pyridine in toluene afforded the chloro ketone (III). This was then treated with sodium azide in aqueous acetone to furnish the azido ketone (IV). Hydrogenation of (IV) over Pd/C in the presence of HCl gave the amino ketone (V). The intermediate 3-indolylglyoxylic chloride (VI) was obtained by acylation of indole (I) with oxalyl chloride in CH2Cl2. Subsequent condensation between acid chloride (VI) and amino ketone (V) produced amide (VII). This was finally cyclized to the desired bisindolyl pyrazinone by treatment with ammonia in a pressure vessel.

Drug Information Express,Drug R&D,Chemical Database,Patent Search.
Copyright © 2006-2026 Drug Future. All rights reserved.Contact Us