【药物名称】
化学结构式(Chemical Structure):
参考文献No.24471
标题:2,6-Diaminopurine derivs.
作者:Gregson, M.; Ayres, B.E.; Ewan, G.B.; Ellis, F.; Knight, J. (Glaxo Wellcome plc)
来源:EP 0680488; JP 1996505864; US 5925624; WO 9417090
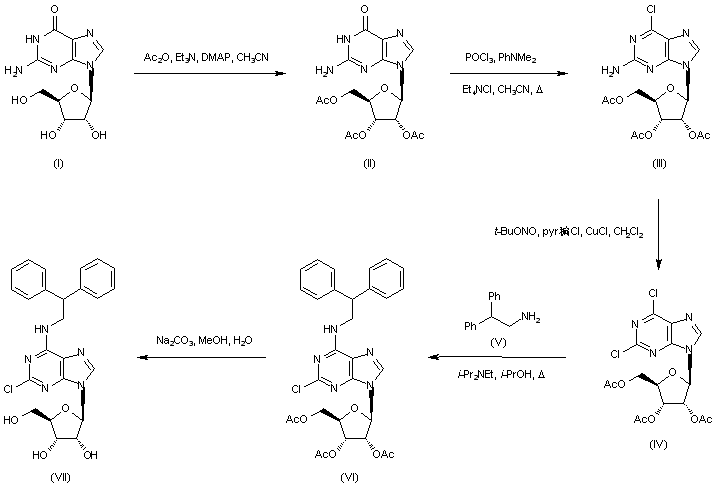
合成路线图解说明:

Guanosine (I) was protected as the triacetate ester (II) and then chlorinated with POCl3 in the presence of dimethylaniline and tetraethylammonium chloride to give the 6-chloro derivative (III). Diazotization of (III) with tert-butyl nitrite, followed by a modified Sandmeyer reaction provided dichloro purine (IV). Substitution of the 6-chloro of (IV) by 2,2-diphenylethylamine (V) in the presence of diisopropylethylamine in refluxing isopropanol furnished the chloroadenosine derivative (VI), and subsequent removal of the acetate protecting groups of (VI) by hydrolysis with Na2CO3 in aqueous MeOH yielded the adenosine derivative (VII).

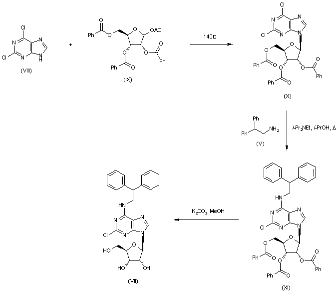
合成路线图解说明:

Alternatively, condensation of 2,6-dichloropurine (VIII) with protected ribose (IX) at 140 C gave the ribofuranosyl purine (X). Subsequent displacement of the 6-chloro of (V) by amine (V), followed by hydrolysis of the benzoate esters afforded the intermediate (VII).

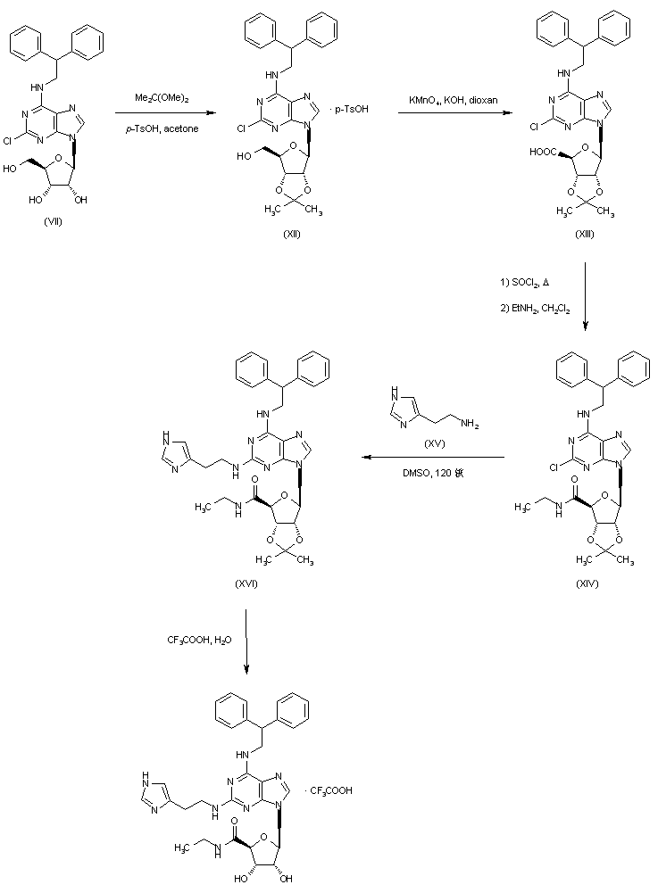
合成路线图解说明:

Protection of the 2',3'-diol group of adenosine (VII) as the corresponding acetonide (XII) was effected by treatment with 2,2-dimethoxypropane and p-toluenesulfonic acid. The primary alcohol group of (XII) was then oxidized to carboxylic acid (XIII) using KMnO4. After conversion of (XIII) to acid chloride by means of refluxing SOCl2, coupling with ethylamine furnished amide (XIV). Displacement of the 2-chloro of (XIV) by histamine (XV) in hot DMSO produced adduct (XVI). The acetonide group of (XVI) was finally deprotected using aqueous trifluoroacetic acid.

参考文献No.568780
标题:The discovery and synthesis of highly potent, A2A receptor agonists
作者:Keeling, S.E.; Albinson, F.D.; Ayres, B.E.; Butchers, P.R.; Chambers, C.L.; Cherry, P.C.; Ellis, F.; Ewan, G.B.; Gregson, M.; Knight, J.; Mills, K.; Ravenscroft, P.; Reynolds, L.H.; Sanjar, S.; Sheehan, M.J.
来源:Bioorg Med Chem Lett 2000,10(4),403
合成路线图解说明:

Guanosine (I) was protected as the triacetate ester (II) and then chlorinated with POCl3 in the presence of dimethylaniline and tetraethylammonium chloride to give the 6-chloro derivative (III). Diazotization of (III) with tert-butyl nitrite, followed by a modified Sandmeyer reaction provided dichloro purine (IV). Substitution of the 6-chloro of (IV) by 2,2-diphenylethylamine (V) in the presence of diisopropylethylamine in refluxing isopropanol furnished the chloroadenosine derivative (VI), and subsequent removal of the acetate protecting groups of (VI) by hydrolysis with Na2CO3 in aqueous MeOH yielded the adenosine derivative (VII).

合成路线图解说明:

Alternatively, condensation of 2,6-dichloropurine (VIII) with protected ribose (IX) at 140 C gave the ribofuranosyl purine (X). Subsequent displacement of the 6-chloro of (V) by amine (V), followed by hydrolysis of the benzoate esters afforded the intermediate (VII).

合成路线图解说明:

Protection of the 2',3'-diol group of adenosine (VII) as the corresponding acetonide (XII) was effected by treatment with 2,2-dimethoxypropane and p-toluenesulfonic acid. The primary alcohol group of (XII) was then oxidized to carboxylic acid (XIII) using KMnO4. After conversion of (XIII) to acid chloride by means of refluxing SOCl2, coupling with ethylamine furnished amide (XIV). Displacement of the 2-chloro of (XIV) by histamine (XV) in hot DMSO produced adduct (XVI). The acetonide group of (XVI) was finally deprotected using aqueous trifluoroacetic acid.

Drug Information Express,Drug R&D,Chemical Database,Patent Search.
Copyright © 2006-2026 Drug Future. All rights reserved.Contact Us