【药物名称】NNC-45-0095
化学结构式(Chemical Structure):
参考文献No.37943
标题:Pyrrolo[2,1,5-cd]indolizine derivs. useful in the prevention or treatment of estrogen related diseases or syndromes
作者:Christiansen, L.B.; Kanstrup, A.; Jacobsen, P.; Jorgensen, A.S.; Bury, P.S. (Novo Nordisk A/S)
来源:EP 0986560; US 6075036; WO 9855482
合成路线图解说明:

The title compound has been prepared by two related procedures. Alkylation of 2-propylpyridine (I) with 4-methoxyphenacyl bromide (II) in refluxing acetone gave the pyridinum salt (III), which was further cyclized to the indolizine (IV) using aqueous NaHCO3. Condensation of (IV) with dimethyl acetylenedicarboxylate (V), followed by oxidation with 2,3-dichloro-5,6-dicyanoquinone furnished the tricyclic system (VI). Hydrolysis of the diester of (VI) and subsequent decarboxylation of the resulting diacid (VII) produced the methoxy derivative (VIII). Finally, demethylation of (VIII) using AlCl3 and ethanethiol gave rise to the title phenol compound.

参考文献No.569001
标题:Synthesis and pharmacology of a novel pyrrolo[2,1,5-cd] indolizine (NNC 45-0095), a high affinity non-steroidal agonist for the estrogen receptor
作者:Jorgensen, A.S.; Jacobsen, P.; Christiansen, L.B.; Bury, P.S.; Kanstrup, A.; Thorpe, S.M.; Bain, S.; Naerum, L.; Wassermann, K.
来源:Bioorg Med Chem Lett 2000,10(4),399
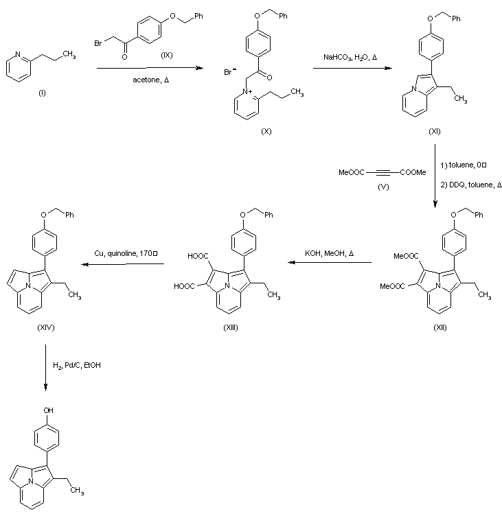
合成路线图解说明:

In a very close procedure, alkylation of 2-propylpyridine (I) was effected with 4-benzyloxyphenacyl bromide (IX). The resulting pyridinium salt (X) was cyclized with NaHCO3 to give (XI), which was then condensed with dimethyl acetylenedicarboxylate (V) as before to give the tricyclic system (XII). Hydrolysis of diester (XII) to diacid (XIII), followed by decarboxylation with copper in hot quinoline yielded (XIV). The benzyl protecting group of (XIV) was then removed by catalytic hydrogenolysis in the presence of Pd/C.

Drug Information Express,Drug R&D,Chemical Database,Patent Search.
Copyright © 2006-2026 Drug Future. All rights reserved.Contact Us