【药物名称】
化学结构式(Chemical Structure):
参考文献No.39374
标题:Pyrimidinone cpds. and pharmaceutical compsns. containing them
作者:Pinto, I.L.; Ife, R.J.; Hickey, D.M.B.; Smith, S.A.; Leach, C.A.; Porter, R.A. (SmithKline Beecham plc)
来源:EP 1028955; WO 9924420
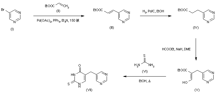
合成路线图解说明:

Palladium-catalyzed coupling of 5-bromopyrimidine (I) with ethyl acrylate (II) afforded pyrimidinyl acrylate (III), which was hydrogenated over Pd/C to give (IV). Claisen condensation of (IV) with ethyl formate furnished oxoester (V). This was then cyclized with thiourea (VI) to produce the intermediate thiouracil (VII).

合成路线图解说明:

Friedel-Crafts acylation of chlorobenzene (VIII) with 8-bromooctanoyl chloride (IX) in the presence of AlCl3 gave rise to bromo ketone (X). Finally, alkylation of thiouracil (VII) with bromoketone (X) generated the title compound.

参考文献No.568779
标题:2-(Alkylthio)pyrimidin-4-ones as novel, reversible inhibitors of lipoprotein-associated phospholipase A2
作者:Boyd, H.F.; Flynn, S.T.; Hickey, D.M.; Ife, R.J.; Jones, M.; Leach, C.A.; Macphee, C.H.; Milliner, K.J.; Rawlings, D.A.; Slingsby, B.P.; Smith, S.A.; Stansfield, I.G.; Tew, D.G.; Theobald, C.J.
来源:Bioorg Med Chem Lett 2000,10(4),395
合成路线图解说明:

Palladium-catalyzed coupling of 5-bromopyrimidine (I) with ethyl acrylate (II) afforded pyrimidinyl acrylate (III), which was hydrogenated over Pd/C to give (IV). Claisen condensation of (IV) with ethyl formate furnished oxoester (V). This was then cyclized with thiourea (VI) to produce the intermediate thiouracil (VII).

合成路线图解说明:

Friedel-Crafts acylation of chlorobenzene (VIII) with 8-bromooctanoyl chloride (IX) in the presence of AlCl3 gave rise to bromo ketone (X). Finally, alkylation of thiouracil (VII) with bromoketone (X) generated the title compound.

Drug Information Express,Drug R&D,Chemical Database,Patent Search.
Copyright © 2006-2026 Drug Future. All rights reserved.Contact Us