【药物名称】
化学结构式(Chemical Structure):
参考文献No.42254
标题:Short oligonucleotides for the inhibition of VEGF expression
作者:Bitonti, A.; Woessner, R.; Peyman, A.; Uhlmann, E. (Aventis Pharma Deutschland GmbH)
来源:EP 0979869; WO 0008141
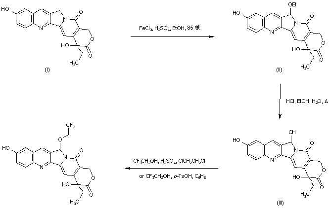
合成路线图解说明:

Treatment of 10-hydroxycamptothecin (I) with EtOH and H2SO4 in the presence of FeCl3 produced 5-ethoxy-10-hydroxycamptothecin (II) along with minor amounts of the 5-hydroxy derivative (III). Hydrolysis of (II) to give (III) was effected using HCl in H2O-EtOH. Finally, acid-catalyzed condensation of (III) with 2,2,2-trifluoroethanol furnished the title compound.

参考文献No.568775
标题:Novel C-ring analogues of 20(S)-camptothecin. Part 3: Synthesis and their in vitro cytotoxicity of A-, B- and C-ring analogues
作者:Subrahmanyam, D.; Sarma, V.M.; Venkateswarlu, A.; Sastry, T.V.; Srinivas, A.S.; Krishna, C.V.; Deevi, D.S.; Kumar, S.A.; Babu, M.J.; Damodaran, N.K.
来源:Bioorg Med Chem Lett 2000,10(4),369
合成路线图解说明:

Treatment of 10-hydroxycamptothecin (I) with EtOH and H2SO4 in the presence of FeCl3 produced 5-ethoxy-10-hydroxycamptothecin (II) along with minor amounts of the 5-hydroxy derivative (III). Hydrolysis of (II) to give (III) was effected using HCl in H2O-EtOH. Finally, acid-catalyzed condensation of (III) with 2,2,2-trifluoroethanol furnished the title compound.

Drug Information Express,Drug R&D,Chemical Database,Patent Search.
Copyright © 2006-2026 Drug Future. All rights reserved.Contact Us