【药物名称】
化学结构式(Chemical Structure):
参考文献No.568774
标题:Synthesis of 8-chloro-benzo[c]quinolizin-3-ones as potent and selective inhibitors of human steroid 5alpha-reductase 1
作者:Guarna, A.; Occhiato, E.G.; Scarpi, D.; Zorn, C.; Danza, G.; Comerci, A.; Mancina, R.; Serio, M.
来源:Bioorg Med Chem Lett 2000,10(4),353
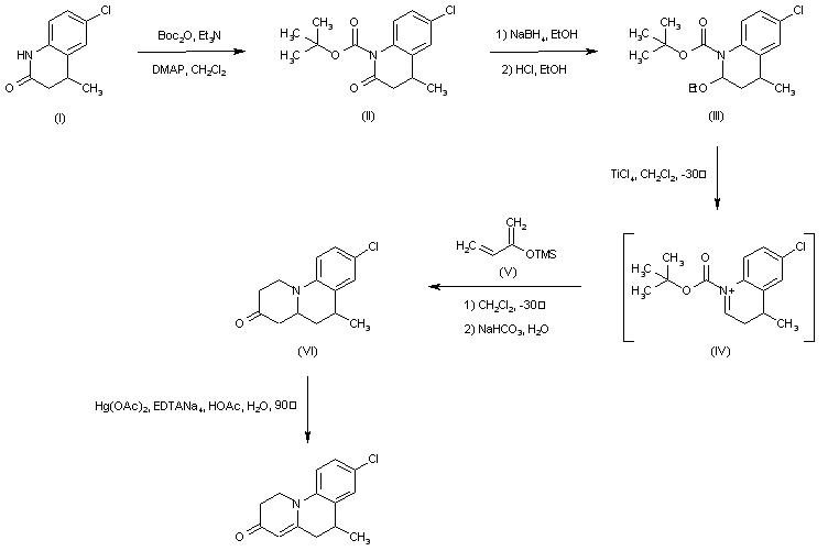
合成路线图解说明:

Lactam (I) was protected as the tert-butyl carbamate (II) by treatment with Boc2O in the presence of Et3N and DMAP. After reduction of (II) with NaBH4 in EtOH at -25 C, reaction with ethanolic HCl produced the ethoxy derivative (III). Treatment with TiCl4 in CH2Cl2 at -30 C generated the intermediate iminium salt (IV), that was converted into the target benzoquinolizinone system (VI) by the tandem Mannich-Michael condensation with 2-(trimethylsilyloxy)-1,3-butadiene (V). Finally, oxidation of (V) with mercuric acetate produced the desired unsaturated compound.

Drug Information Express,Drug R&D,Chemical Database,Patent Search.
Copyright © 2006-2026 Drug Future. All rights reserved.Contact Us