【药物名称】
化学结构式(Chemical Structure):
参考文献No.568772
标题:Design and biological evaluation of non-peptide analogues of omega-conotoxin MVIIA
作者:Menzler, S.; Bikker, J.A.; Suman-Chauhan, N.; Horwell, D.C.
来源:Bioorg Med Chem Lett 2000,10(4),345
合成路线图解说明:

Addition of hydroxylamine to 4-(2-hydroxyethyl)benzonitrile (I) afforded the hydroxyamidine (II), which was further cyclized to the oxadiazole (III) upon treatment with refluxing acetic anhydride. Methanolysis of the acetate ester of (III) in the presence of sodium methoxide provided the corresponding alcohol (IV). The intermediate phenol (VI) was prepared by partial hydrolysis of phloroglucinol triacetate (V), followed by monoalkylation with isopropyl iodide under Williamson's ether synthesis conditions. Subsequent Mitsunobu coupling between alcohol (IV) and phenol (VI) furnished ether (VII). The acetate ester group of (VII) was then removed by methanolysis to yield phenol (VIII).

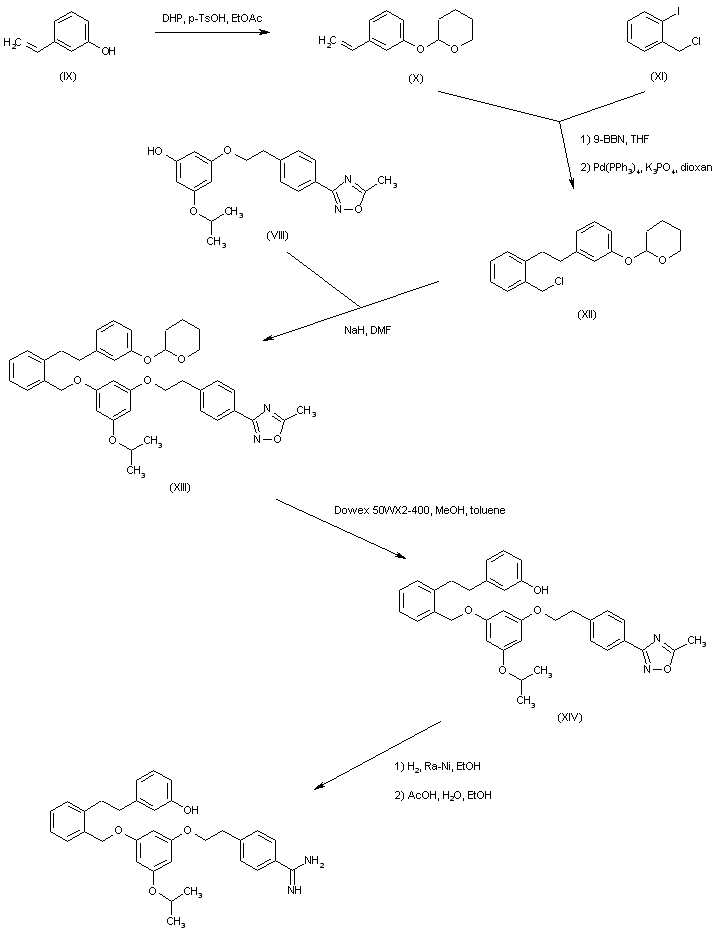
合成路线图解说明:

Protection of the hydroxyl group of m-hydroxystyrene (IX) with dihydropyran in the presence of p-toluenesulfonic acid produced the tetrahydropyranyl ether (X). After olefin hydroboration of (X) with 9-borabicyclononane, the resulting borane was coupled with 2-iodobenzyl chloride (XI) under Suzuki conditions to furnish the diaryl ethane (XII). Ether (XIII) was prepared by Williamson's synthesis using chloride (XII) and phenol (VIII) in the presence of NaH. The tetrahydropyranyl group of (XIII) was then removed by methanolysis employing an acidic ion exchange resin to give (XIV). Finally, hydrogenolytic cleavage of the oxadiazole ring followed by acid hydrolysis furnished the target amidine.

Drug Information Express,Drug R&D,Chemical Database,Patent Search.
Copyright © 2006-2026 Drug Future. All rights reserved.Contact Us