【药物名称】Lu-35-138
化学结构式(Chemical Structure):
参考文献No.37039
标题:Indane or dihydroindole derivs.
作者:Perregaard, J.K.; Pedersen, H.; Mikkelsen, I.; Bang-Andersen, B.; Dancer, R. (H. Lundbeck A/S)
来源:EP 0946542; JP 2000513731; US 2001021777; US 6262087; US 6352988; US 6552044; WO 9828293
合成路线图解说明:

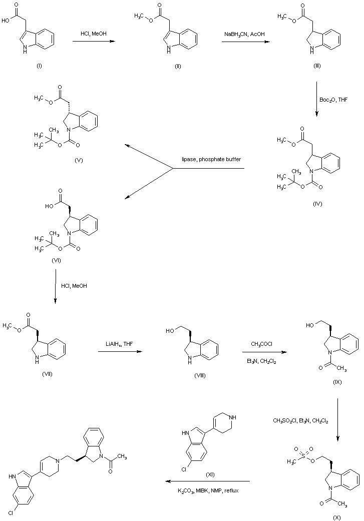
Fischer esterification of (3-indolyl)acetic acid (I) with methanol and HCl affords the methyl ester (II). Subsequent indole ring reduction by using NaBH3CN in AcOH leads to indoline (III), which is further protected as the N-Boc derivative (IV). Kinetic resolution of the racemic indoline ester (IV) employing Candida antarctica lipase provides the desired (S)-acid (VI), which can be separated from unreacted (R)-ester (V) by H2O/Et2O partition at pH 8. Esterification and deprotection of the (S)-acid (VI) with HCl/MeOH yields ester (VII), which is then reduced to alcohol (VIII) by means of LiAlH4. Acylation of the indoline N of (VIII) with acetyl chloride and triethylamine produces amide (IX). The alcohol group of (IX) is then activated as the corresponding mesylate (X) with methanesulfonyl chloride and triethylamine. Finally, condensation of mesylate (X) with the tetrahydropyridinyl indole (XI) in a refluxing mixture of methyl isobutyl ketone and N-methylpyrrolidone furnishes the title compound.

参考文献No.687387
标题:Structure activity relationship investigations leading to the potential antipsychotic Lu 35-138, a combined dopamine D4 antagonist and serotonin reuptake inhibitor
作者:Bang-Andersen, B.; Perregaard, J.; Pedersen, H.; Andersen, J.; Larsen, A.K.; Soby, K.K.; Didriksen, M.
来源:Drugs Fut 2002,27(Suppl. A),
合成路线图解说明:

Fischer esterification of (3-indolyl)acetic acid (I) with methanol and HCl affords the methyl ester (II). Subsequent indole ring reduction by using NaBH3CN in AcOH leads to indoline (III), which is further protected as the N-Boc derivative (IV). Kinetic resolution of the racemic indoline ester (IV) employing Candida antarctica lipase provides the desired (S)-acid (VI), which can be separated from unreacted (R)-ester (V) by H2O/Et2O partition at pH 8. Esterification and deprotection of the (S)-acid (VI) with HCl/MeOH yields ester (VII), which is then reduced to alcohol (VIII) by means of LiAlH4. Acylation of the indoline N of (VIII) with acetyl chloride and triethylamine produces amide (IX). The alcohol group of (IX) is then activated as the corresponding mesylate (X) with methanesulfonyl chloride and triethylamine. Finally, condensation of mesylate (X) with the tetrahydropyridinyl indole (XI) in a refluxing mixture of methyl isobutyl ketone and N-methylpyrrolidone furnishes the title compound.

Drug Information Express,Drug R&D,Chemical Database,Patent Search.
Copyright © 2006-2026 Drug Future. All rights reserved.Contact Us