【药物名称】Gaboxadol, MK-0928, Lu-02-030, THIP
化学结构式(Chemical Structure):
参考文献No.58135
标题:Heterocyclic cpds.
作者:Krogsgaard-Larsen, P. (H. Lundbeck A/S)
来源:EP 0000167; EP 0000338; EP 0027279; EP 0028017; US 4278676; US 4301287
合成路线图解说明:

The ethanolysis of 1-benzylpyrrolidin-2-one (I) with HCl in ethanol gives 4-(benzylamino)butyric acid ethyl ester (II), which is alkylated with ethyl bromoacetate (III), yielding the tertiary amine (IV). The cyclization of (IV) by means of sodium ethoxide affords 1-benzyl-3-hydroxy-1,2,5,6-tetrahydropyridine-4-carboxylic acid ethyl ester (V), which by hydrogenolytic debenzylation, followed by reaction with methyl chloroformate (VI), affords the 1,4-dicarboxylate (VII). The reaction of (VII) with ethyleneglycol (VIII) and TsOH gives the cyclic ketal (IX), which is treated with hydroxylamine and NaOMe to yield the carbohydroxamic acid (X). The cyclization of (X) by means of H2SO4 affords 3-hydroxy-4,5,6,7-tetrahydropyrido[4,3-d]oxazole-6-carboxylic acid methyl ester (XI), which is finally decarboxylated by means of HBr and TEA.

合成路线图解说明:

The deprotection of 1-benzyl-2-oxopiperidine-3-carboxylic acid ethyl ester (I) by hydrogenation with H2 over Pd/C in aq. ethanol gives 2-oxopiperidine-3-carboxylic acid ethyl ester (II), which is condensed with methyl chloroformate (III) and K2CO3 in water to yield 1-(methoxycarbonyl)-2-oxopiperidine-3-carboxylic acid ethyl ester (IV). The reaction of (IV) with ethyleneglycol (V) and Ts-OH in refluxing benzene affords the ethylene ketal (VI), which is treated with hydroxylamine and KOH in methanol to provide the carbohydroxamic acid (VII). The cyclization of (VII) by means of hot conc. HCl or HClO4 gives 3-hydroxy-4,5,6,7-tetrahydroisoxazolo[5,4-c]pyridine-6-carboxylic acid methyl ester (VIII), which is finally treated with HBr in refluxing acetic acid and neutralized with TEA to yield the target isoxazolo-pyridine derivative.

参考文献No.803882
标题:Chemistry and pharmacology of the GABA agonists THIP (Gabodaxol) and isoguvacine
作者:Christensen, V.; Krogsgaard-Larsen, P.; Falch, E.
来源:Drugs Fut 1984,9(8),597
合成路线图解说明:

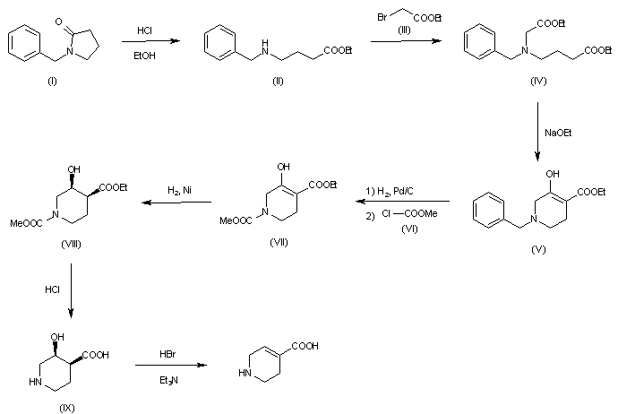
The alcoholysis of 1-benzyl-2-pyrrolidinone (I) with HCl in ethanol gives 4-(benzylamino)butyric acid ethyl ester (II), which is condensed with ethyl 2-bromoacetate (III) to yield the tertiary amine (IV). The cyclization of (IV) by means of NaOEt affords 1-benzyl-3-hydroxy-1,2,5,6-tetrahydropyridine-4-carboxylic acid ethyl ester (V), which by hydrogenolytic debenzylation, followed by reaction with methyl chloroformate (VI), affords the 1,4-dicarboxylate (VII). The reduction of (VII) with H2 over Ni gives the cis-3-hydroxy-1,4-dicarboxylate (VIII), which is hydrolyzed and selectively decarboxylated with HCl, yielding cis-3-hydroxypiperidine-4-carboxylic acid (IX). Finally, this compound is dehydrated by means of HBr and TEA.

合成路线图解说明:

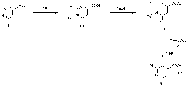
The methylation of pyridine-4-carboxylic acid (X) gives the pyridinium iodide (XI), which is reduced with NaBH4 to yield 1-methyl-1,2,3,6-tetrahydropyridine-4-carboxylic acid ethyl ester (XII). The desmethylation of (XII) with ethyl chloroformate (XIII) affords 1,23,6-tetrahydropyridine-1,4-dicarboxylic acid diethyl ester (XIV), which is finally hydrolyzed and monodecarboxylated with HCl and TEA.

合成路线图解说明:

The reaction of pyridine-4-carboxylic acid ethyl ester (I) with methyl iodide gives the pyridinium iodide (II), which is reduced with tritiated NaB3H4, yielding the tritiated tetrahydropyridine (III). The desmethylation of (III) with ethyl chloroformate (IV), followed by a treatment with HBr, affords the tritiated target compound.

合成路线图解说明:

The ethanolysis of 1-benzylpyrrolidin-2-one (I) with HCl in ethanol gives 4-(benzylamino)butyric acid ethyl ester (II), which is alkylated with ethyl bromoacetate (III), yielding the tertiary amine (IV). The cyclization of (IV) by means of sodium ethoxide affords 1-benzyl-3-hydroxy-1,2,5,6-tetrahydropyridine-4-carboxylic acid ethyl ester (V), which by hydrogenolytic debenzylation, followed by reaction with methyl chloroformate (VI), affords the 1,4-dicarboxylate (VII). The reaction of (VII) with ethyleneglycol (VIII) and TsOH gives the cyclic ketal (IX), which is treated with hydroxylamine and NaOMe to yield the carbohydroxamic acid (X). The cyclization of (X) by means of H2SO4 affords 3-hydroxy-4,5,6,7-tetrahydropyrido[4,3-d]oxazole-6-carboxylic acid methyl ester (XI), which is finally decarboxylated by means of HBr and TEA.

合成路线图解说明:

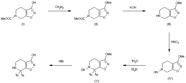
The methylation of intermediate 3-hydroxy-4,5,6,7-tetrahydropyrido[4,3-d]oxazole-6-carboxylic acid methyl ester (I) (see intermediate (XI) in the synthesis of scheme 28607501a) with diazomethane gives the methoxy compound (II), which is decarboxylated with KOH to yield 3-methoxy-4,5,6,7-tetrahydropyrido[4,3-d]oxazole (III). The nitrosation of (III) with HNO2 affords 3-methoxy-6-nitroso-4,5,6,7-tetrahydropyrido[4,3-d]oxazole (IV), which is tritiated with 3H2O and TEA to afford the tritiated intermediate (V). Finally, this compound is desmethylated with HBr to provide the target compound.

参考文献No.803885
标题:Deuterium labelling of the GABA agonists THIP, piperidine-4-sulphonic acid and the GABA uptake inhibitor THPO
作者:Johansen, J.S.; Falch, E.; Krogsgaard-Larsen, P.
来源:J Label Compd Radiopharm 1982,19689-702
合成路线图解说明:

The methylation of intermediate 3-hydroxy-4,5,6,7-tetrahydropyrido[4,3-d]oxazole-6-carboxylic acid methyl ester (I) (see intermediate (XI) in the synthesis of scheme 28607501a) with diazomethane gives the methoxy compound (II), which is decarboxylated with KOH to yield 3-methoxy-4,5,6,7-tetrahydropyrido[4,3-d]oxazole (III). The nitrosation of (III) with HNO2 affords 3-methoxy-6-nitroso-4,5,6,7-tetrahydropyrido[4,3-d]oxazole (IV), which is tritiated with 3H2O and TEA to afford the tritiated intermediate (V). Finally, this compound is desmethylated with HBr to provide the target compound.

参考文献No.803886
标题:Muscimol analogues. II. Synthesis of some bicylic 3-isoxazol zwitterions
作者:Krogsgaard-Larsen, P.
来源:Acta Chem Scand 1977,B31584-588
合成路线图解说明:

The ethanolysis of 1-benzylpyrrolidin-2-one (I) with HCl in ethanol gives 4-(benzylamino)butyric acid ethyl ester (II), which is alkylated with ethyl bromoacetate (III), yielding the tertiary amine (IV). The cyclization of (IV) by means of sodium ethoxide affords 1-benzyl-3-hydroxy-1,2,5,6-tetrahydropyridine-4-carboxylic acid ethyl ester (V), which by hydrogenolytic debenzylation, followed by reaction with methyl chloroformate (VI), affords the 1,4-dicarboxylate (VII). The reaction of (VII) with ethyleneglycol (VIII) and TsOH gives the cyclic ketal (IX), which is treated with hydroxylamine and NaOMe to yield the carbohydroxamic acid (X). The cyclization of (X) by means of H2SO4 affords 3-hydroxy-4,5,6,7-tetrahydropyrido[4,3-d]oxazole-6-carboxylic acid methyl ester (XI), which is finally decarboxylated by means of HBr and TEA.

参考文献No.804012
标题:THIP
作者:Blancafort, P.; Serradell, M.N.; Casta馿r, J.; Paton, D.M.
来源:Drugs Fut 1980,5(5),257
合成路线图解说明:

The ethanolysis of 1-benzylpyrrolidin-2-one (I) with HCl in ethanol gives 4-(benzylamino)butyric acid ethyl ester (II), which is alkylated with ethyl bromoacetate (III), yielding the tertiary amine (IV). The cyclization of (IV) by means of sodium ethoxide affords 1-benzyl-3-hydroxy-1,2,5,6-tetrahydropyridine-4-carboxylic acid ethyl ester (V), which by hydrogenolytic debenzylation, followed by reaction with methyl chloroformate (VI), affords the 1,4-dicarboxylate (VII). The reaction of (VII) with ethyleneglycol (VIII) and TsOH gives the cyclic ketal (IX), which is treated with hydroxylamine and NaOMe to yield the carbohydroxamic acid (X). The cyclization of (X) by means of H2SO4 affords 3-hydroxy-4,5,6,7-tetrahydropyrido[4,3-d]oxazole-6-carboxylic acid methyl ester (XI), which is finally decarboxylated by means of HBr and TEA.

参考文献No.804032
标题:Muscimol analogs. II. Synthesis of some bicyclic 3-isoxazolol zwitterions
作者:Gupta, C.M.
来源:Med Chem 1968,11(3),392
合成路线图解说明:

The ethanolysis of 1-benzylpyrrolidin-2-one (I) with HCl in ethanol gives 4-(benzylamino)butyric acid ethyl ester (II), which is alkylated with ethyl bromoacetate (III), yielding the tertiary amine (IV). The cyclization of (IV) by means of sodium ethoxide affords 1-benzyl-3-hydroxy-1,2,5,6-tetrahydropyridine-4-carboxylic acid ethyl ester (V), which by hydrogenolytic debenzylation, followed by reaction with methyl chloroformate (VI), affords the 1,4-dicarboxylate (VII). The reaction of (VII) with ethyleneglycol (VIII) and TsOH gives the cyclic ketal (IX), which is treated with hydroxylamine and NaOMe to yield the carbohydroxamic acid (X). The cyclization of (X) by means of H2SO4 affords 3-hydroxy-4,5,6,7-tetrahydropyrido[4,3-d]oxazole-6-carboxylic acid methyl ester (XI), which is finally decarboxylated by means of HBr and TEA.

合成路线图解说明:

2-Mercapto-4-quinazolone (I) is treated with ethyl iodide (II) in the presence of sodium ethoxide to yield 2-ethylthio-4-quinazolone (III). Reaction of (III) with N-benzylpiperazine (IV) to give (V) and followed by catalytic debenzylation with H2 over Pd/C in glacial acetic acid affords Centpiperalone.

参考文献No.810151
标题:Arundic Acid
作者:Casta馿r, J.; Casta馿r, R.M.; Sorbera, L.A.
来源:Drugs Fut 2004,29(5),441
合成路线图解说明:

The ethanolysis of 1-benzylpyrrolidin-2-one (I) with HCl in ethanol gives 4-(benzylamino)butyric acid ethyl ester (II), which is alkylated with ethyl bromoacetate (III), yielding the tertiary amine (IV). The cyclization of (IV) by means of sodium ethoxide affords 1-benzyl-3-hydroxy-1,2,5,6-tetrahydropyridine-4-carboxylic acid ethyl ester (V), which by hydrogenolytic debenzylation, followed by reaction with methyl chloroformate (VI), affords the 1,4-dicarboxylate (VII). The reaction of (VII) with ethyleneglycol (VIII) and TsOH gives the cyclic ketal (IX), which is treated with hydroxylamine and NaOMe to yield the carbohydroxamic acid (X). The cyclization of (X) by means of H2SO4 affords 3-hydroxy-4,5,6,7-tetrahydropyrido[4,3-d]oxazole-6-carboxylic acid methyl ester (XI), which is finally decarboxylated by means of HBr and TEA.

Drug Information Express,Drug R&D,Chemical Database,Patent Search.
Copyright © 2006-2026 Drug Future. All rights reserved.Contact Us