【药物名称】D-58
化学结构式(Chemical Structure):
参考文献No.569460
标题:An improved procedure for the acylation on phenols using boron trifluoride-etherate
作者:Mohanty, S.; Grover, S.K.
来源:Curr Sci 1988,57(10),537
合成路线图解说明:

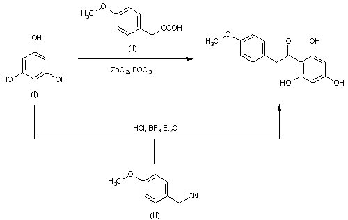
The target product can be obtained either by condensation of phloroglucinol (I) with carboxylic acid (II) by means of zinc chloride (ZnCl2) and phosphoryl chloride (POCl3) (1) or by reaction of phloroglucinol (I) with acetonitrile derivative (III), boron trifluoride-etherate (BF3-Et2O) and hydrogen chloride in ether.

参考文献No.569767
标题:Synthesis of deoxybenzoins
作者:Devi, N.; et al.
来源:Indian J Chem 1993,32B(8),874
合成路线图解说明:

The target product can be obtained either by condensation of phloroglucinol (I) with carboxylic acid (II) by means of zinc chloride (ZnCl2) and phosphoryl chloride (POCl3) (1) or by reaction of phloroglucinol (I) with acetonitrile derivative (III), boron trifluoride-etherate (BF3-Et2O) and hydrogen chloride in ether.

Drug Information Express,Drug R&D,Chemical Database,Patent Search.
Copyright © 2006-2026 Drug Future. All rights reserved.Contact Us