【药物名称】Nafoxidine hydrochloride
化学结构式(Chemical Structure):
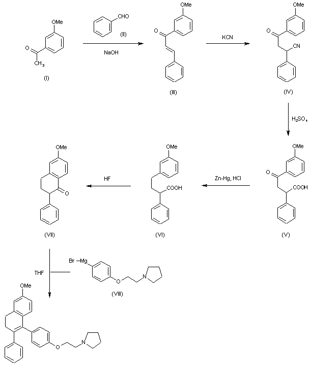
参考文献No.800557
标题:Nafoxidine
作者:Thorpe, P.; Casta馿r, J.
来源:Drugs Fut 1978,3(3),211
合成路线图解说明:

The condensation of 3-methoxyacetophenone (I) with benzaldehyde (II) by means of NaOH in ethanol - water gives 3'-methoxychalcone (III), which by addition of HCN (KCN) in ethanol-acetic acid is transformed into 2-phenyl-4-(3-methoxyphenyl)-4-oxobutyronitrile (IV). The hydrolysis of (IV) with aqueous H2SO4 at 100 C affords the corresponding ketoacid (V), which is reduced with amalgamated zinc and 2N HCl yielding 2-phenyl-4-(3-methoxyphenyl)butyric acid (VI). The cyclization of (VI) by means of liquid HF yields 2-phenyl-6-methoxy-1,2,3,4-tetrahydro-1-naphthalenone (VII), which is finally condensed with 4-(2-pyrrolidinoethoxy)phenylmagnesium bromide in refluxing THF.

参考文献No.800558
标题:
作者:Lednicer, D.
来源:US 3274213
合成路线图解说明:

The condensation of 3-methoxyacetophenone (I) with benzaldehyde (II) by means of NaOH in ethanol - water gives 3'-methoxychalcone (III), which by addition of HCN (KCN) in ethanol-acetic acid is transformed into 2-phenyl-4-(3-methoxyphenyl)-4-oxobutyronitrile (IV). The hydrolysis of (IV) with aqueous H2SO4 at 100 C affords the corresponding ketoacid (V), which is reduced with amalgamated zinc and 2N HCl yielding 2-phenyl-4-(3-methoxyphenyl)butyric acid (VI). The cyclization of (VI) by means of liquid HF yields 2-phenyl-6-methoxy-1,2,3,4-tetrahydro-1-naphthalenone (VII), which is finally condensed with 4-(2-pyrrolidinoethoxy)phenylmagnesium bromide in refluxing THF.

参考文献No.800559
标题:
作者:Duncan, G.W.; Lednicer, D.
来源:US 3483293
合成路线图解说明:

The condensation of 3-methoxyacetophenone (I) with benzaldehyde (II) by means of NaOH in ethanol - water gives 3'-methoxychalcone (III), which by addition of HCN (KCN) in ethanol-acetic acid is transformed into 2-phenyl-4-(3-methoxyphenyl)-4-oxobutyronitrile (IV). The hydrolysis of (IV) with aqueous H2SO4 at 100 C affords the corresponding ketoacid (V), which is reduced with amalgamated zinc and 2N HCl yielding 2-phenyl-4-(3-methoxyphenyl)butyric acid (VI). The cyclization of (VI) by means of liquid HF yields 2-phenyl-6-methoxy-1,2,3,4-tetrahydro-1-naphthalenone (VII), which is finally condensed with 4-(2-pyrrolidinoethoxy)phenylmagnesium bromide in refluxing THF.

Drug Information Express,Drug R&D,Chemical Database,Patent Search.
Copyright © 2006-2026 Drug Future. All rights reserved.Contact Us