【药物名称】
化学结构式(Chemical Structure):
参考文献No.568347
标题:Synthesis of 3-substituted phenacyl-5-[2-phenyl-4H-4-oxo-1-benzopyran-6-yl(methylenyl]thiazolidine-2,4-diones and evaluation of their antimicrobial activity
作者:Altanlar, N.; Ayhan-Killergil, G.
来源:Arzneim-Forsch Drug Res 2000,50(2),154
合成路线图解说明:

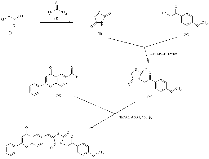
Thiazolidinedione (III) was prepared by condensation of chloroacetic acid (I) with thiourea (II). Alkylation of the potassium salt of (III) with 4-methoxyphenacyl bromide (IV) furnished the 3-phenacyl thiazolidinedione (V). Finally, aldol condensation of (V) with flavone-6-carboxaldehyde (VI) in the presence of NaOAc in HOAc provided the title compound.

Drug Information Express,Drug R&D,Chemical Database,Patent Search.
Copyright © 2006-2026 Drug Future. All rights reserved.Contact Us