【药物名称】
化学结构式(Chemical Structure):
参考文献No.568342
标题:Synthesis and pharmacological screening of novel non-acidic gastroprotective antipyretic anti-inflammatory agents with anti-platelet properties. 5-Alkyl/cycloalkylamino substituted 2-amino-5H-[1]benzopyrano[4,3-d]pyrimidines
作者:Barocelli, E.; Bertoni, S.; Bruno, O.; Ranise, A.; Schenone, S.; Chiavarini, M.; Ballabeni, V.
来源:Arzneim-Forsch Drug Res 2000,50(2),140
合成路线图解说明:

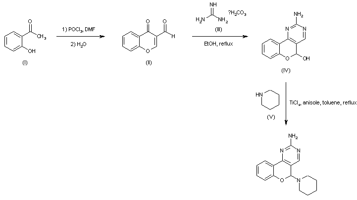
3-Formylchromen-4-one (II) was prepared by Vilsmeier formylation of 2'-hydroxyacetophenone (I) with POCl3 and DMF. Cyclization of (II) with guanidine carbonate (III) in refluxing EtOH gave rise to the benzopyranopyrimidine (IV). This was finally condensed with piperidine (V) in the presence of TiCl4 to furnish the title compound.

Drug Information Express,Drug R&D,Chemical Database,Patent Search.
Copyright © 2006-2026 Drug Future. All rights reserved.Contact Us