【药物名称】BAY-41-2272
化学结构式(Chemical Structure):
参考文献No.42159
标题:Substd. pyrazole derivs.
作者:Feurer, A.; Stahl, E.; Stasch, J.-P.; Straub, A.; Dembowsky, K.; Alonso-Alija, C.; Perzborn, E.; H黷ter, J. (Bayer AG)
来源:DE 19834047; EP 1102767; WO 0006568
合成路线图解说明:

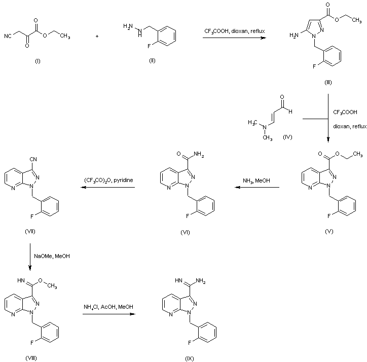
The condensation of ethyl cyanopyruvate (I) with 2-fluorobenzyl hydrazine (II) in the presence of trifluoroacetic acid produced the aminopyrazole (III). This was further condensed with (dimethylamino)acrolein (IV) under acidic conditions to furnish the pyrazolopyridine (V). The ethyl ester group of (V) was then converted to nitrile (VII) via formation of the corresponding amide (VI), followed by dehydration with trifluoroacetic anhydride. Addition of methoxide to the cyano group of (VII) produced imidate (VIII), which was treated with ammonium chloride to yield the amidine (IX).

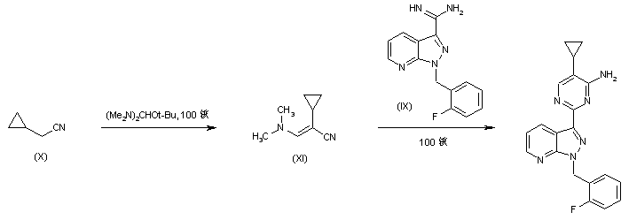
合成路线图解说明:

Condensation of cyclopropaneacetonitrile (X) with bis(dimethylamino)-tert-butoxymethane gave rise to the enamino nitrile (XI). This was then cyclized with amidine (IX) to produce the target pyrimidine derivative.

参考文献No.49129
标题:Method for the production of substd. pyrimidine derivs.
作者:Straub, A.; Alonso-Alija, C.; Preiss, M.; J鋘ichen, J. (Bayer AG)
来源:DE 19942809; WO 0117998
合成路线图解说明:

The condensation of ethyl cyanopyruvate (I) with 2-fluorobenzyl hydrazine (II) in the presence of trifluoroacetic acid produced the aminopyrazole (III). This was further condensed with (dimethylamino)acrolein (IV) under acidic conditions to furnish the pyrazolopyridine (V). The ethyl ester group of (V) was then converted to nitrile (VII) via formation of the corresponding amide (VI), followed by dehydration with trifluoroacetic anhydride. Addition of methoxide to the cyano group of (VII) produced imidate (VIII), which was treated with ammonium chloride to yield the amidine (IX).

合成路线图解说明:

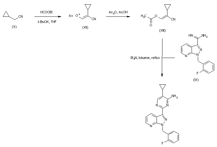
In a related method, Claisen condensation of ethyl formate with cyclopropaneacetonitrile (X), followed by acetylation of the intermediate potassium enolate (XII) with Ac2O, furnished the (acetoxy)acrylonitrile (XIII). This was finally cyclized with amidine (IX) in the presence of Et3N in refluxing toluene.

参考文献No.616096
标题:NO-independent stimulators of soluble guanylate cyclase
作者:Starub, A.; Stasch, J.P.; Alonso-Alija, C.; Benet-Buchholz, J.; Ducke, B.; Feurer, A.; Furstner, C.
来源:Bioorg Med Chem Lett 2001,11(6),781
合成路线图解说明:

The condensation of ethyl cyanopyruvate (I) with 2-fluorobenzyl hydrazine (II) in the presence of trifluoroacetic acid produced the aminopyrazole (III). This was further condensed with (dimethylamino)acrolein (IV) under acidic conditions to furnish the pyrazolopyridine (V). The ethyl ester group of (V) was then converted to nitrile (VII) via formation of the corresponding amide (VI), followed by dehydration with trifluoroacetic anhydride. Addition of methoxide to the cyano group of (VII) produced imidate (VIII), which was treated with ammonium chloride to yield the amidine (IX).

合成路线图解说明:

Condensation of cyclopropaneacetonitrile (X) with bis(dimethylamino)-tert-butoxymethane gave rise to the enamino nitrile (XI). This was then cyclized with amidine (IX) to produce the target pyrimidine derivative.

参考文献No.629838
标题:3-(2-Pyrimidinyl)pyrazolo[3,4-b]pyridines: A novel class of orally active NO-independent stimulators of soluble guanylate cyclase
作者:Feurer, A.; et al.
来源:222nd ACS Natl Meet (Aug 26 2001, Chicago) 2001,Abst MEDI 205
合成路线图解说明:

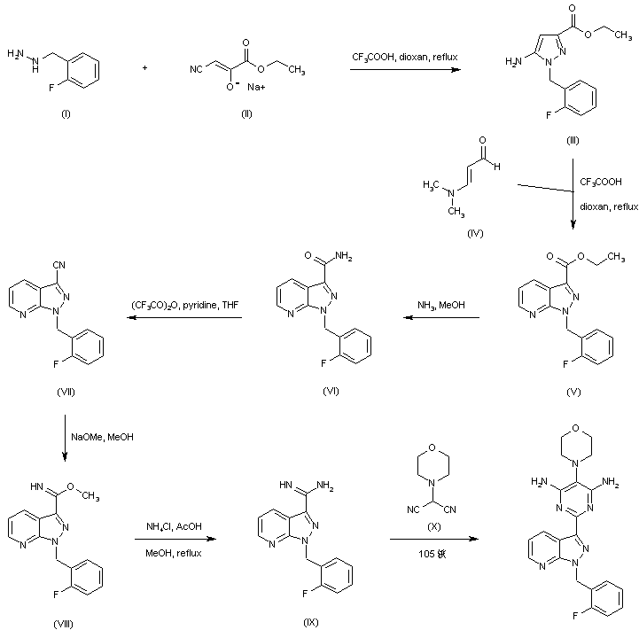
The condensation between 2-fluorobenzylhydrazine (I) and the sodium enolate of ethyl cyanopyruvate (II) in the presence of trifluoroacetic acid produced the pyrazole derivative (III). Subsequent cyclization of aminopyrazole (III) with (dimethylamino)acrolein (IV) gave the pyrazolopyridine (V). Amonolysis of the ethyl ester group of (V) afforded amide (VI), which was further dehydrated to nitrile (VII) by means of trifluoroacetic anhydride and pyridine. Addition of sodium methoxide to nitrile (VII) furnished imidate (VIII). This was converted to the corresponding amidine (IX) upon treatment with ammonium chloride and HOAc. Finally, the title diamino pyrimidine compound was obtained by heating a mixture of amidine (IX) and morpholinomalononitrile (X).

合成路线图解说明:

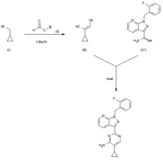
The reaction of 2-cyclopropylacetonitrile (I) with ethyl formate (II) by means of t-BuOK in THF gives the hydroxymethylene derivative (III), which is cyclized with 1-(2-fluorobenzyl)pyrazolo[3,4-b]pyridine-3-carboxamidine (IV)(see scheme no. 28591301a, intermediate (IX)) by heating at 105 C to afford the target aminopyrimidine derivative.

Drug Information Express,Drug R&D,Chemical Database,Patent Search.
Copyright © 2006-2026 Drug Future. All rights reserved.Contact Us