【药物名称】Bimolane, AT-1727
化学结构式(Chemical Structure):
参考文献No.800466
标题:An investigation of a new antineoplastic agent bimolane (AT-1727)
作者:Ren, Y.F.; et al.
来源:Kexue Tongbao 1980,23(4),189-190
合成路线图解说明:

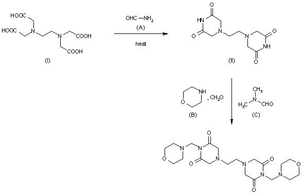
Ethylenediaminetetraacetic acid (EDTA) (I) on heating with formamide (A), afforded IGRF-154 (II). The latter compound was suspended in dimethylformamide (C), heated with morpholine (B) in ethanol and then refluxed with formalin. The final product crystallized on cooling.

参考文献No.800467
标题:Bimolane
作者:Ji Ru-Yun
来源:Drugs Fut 1981,6(11),667
合成路线图解说明:

Ethylenediaminetetraacetic acid (EDTA) (I) on heating with formamide (A), afforded IGRF-154 (II). The latter compound was suspended in dimethylformamide (C), heated with morpholine (B) in ethanol and then refluxed with formalin. The final product crystallized on cooling.

Drug Information Express,Drug R&D,Chemical Database,Patent Search.
Copyright © 2006-2026 Drug Future. All rights reserved.Contact Us