【药物名称】
化学结构式(Chemical Structure):
参考文献No.34698
标题:N-(Amidinophenyl)-N'-(substd.)-3H-2, 4-benzodiazepin-3-one derivs. as factor Xa inhibitors
作者:Maduskuie, T.P. Jr.; Galemmo, R.A. Jr.; Dominguez, C.; Quan, M.L.; Rossi, K.A.; Stouten, P.F.W.; Sun, J.H.; Wells, B.L. (DuPont Pharmaceuticals Co.)
来源:EP 0960104; US 5925635; WO 9738984
合成路线图解说明:

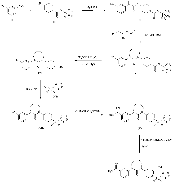
The condensation of 3-cyanophenyl isocyanate (I) with N-Boc-4-aminopiperidine (II) produced the corresponding urea (III). The diazepinone system (V) was then obtained by dialkylation of the urea (III) functionality with 1,4-dibromobutane (IV) in the presence of NaH. After acid cleavage of the Boc protecting group of (V), the resulting piperidine (VI) was acylated with 2-thiophenesulfonyl chloride (VII) to give sulfonamide (VIII). Addition of methanol to the cyano group of (VIII) in the presence of anhydrous HCl in MeOAc furnished imidate (IX). This was then converted to the corresponding amidine by treatment with either methanolic ammonia or (NH4)2CO3, followed by conversion to the title hydrochloride salt.

参考文献No.567362
标题:The de novo design and synthesis of cyclic urea inhibitors of factor Xa: Optimization of the S4 ligand
作者:Galemmo, R.A. Jr.; Wells, B.L.; Rossi, K.A.; Alexander, R.S.; Dominguez, C.; Maduskuie, T.P.; Stouten, P.F.; Wright, M.R.; Aungst, B.J.; Wong, P.C.; Knabb, R.M.; Wexler, R.R.
来源:Bioorg Med Chem Lett 2000,10(3),301
合成路线图解说明:

The condensation of 3-cyanophenyl isocyanate (I) with N-Boc-4-aminopiperidine (II) produced the corresponding urea (III). The diazepinone system (V) was then obtained by dialkylation of the urea (III) functionality with 1,4-dibromobutane (IV) in the presence of NaH. After acid cleavage of the Boc protecting group of (V), the resulting piperidine (VI) was acylated with 2-thiophenesulfonyl chloride (VII) to give sulfonamide (VIII). Addition of methanol to the cyano group of (VIII) in the presence of anhydrous HCl in MeOAc furnished imidate (IX). This was then converted to the corresponding amidine by treatment with either methanolic ammonia or (NH4)2CO3, followed by conversion to the title hydrochloride salt.

Drug Information Express,Drug R&D,Chemical Database,Patent Search.
Copyright © 2006-2026 Drug Future. All rights reserved.Contact Us