【药物名称】
化学结构式(Chemical Structure):
参考文献No.36502
标题:Naphtyridine derivs.
作者:Hersperger, R. (Novartis AG)
来源:EP 0934320; US 6136821; WO 9818796
合成路线图解说明:

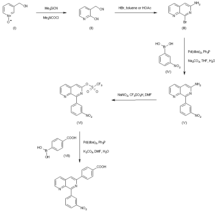
Reaction of 3-(cyanomethyl)pyridine-N-oxide (I) with cyanotrimethylsilane and dimethylcarbamoyl chloride provided dinitrile (II). Subsequent cyclization of (II) in the presence of HBr gave rise to 6-amino-8-bromo-1,7-naphthyridine (III). Attachment of a 3-nitrophenyl group to (III) to afford (V) was carried out by Suzuki coupling of (III) with 3-nitrophenylboronic acid (IV) in the presence of bis(dibenzylideneacetone)palladium and triphenylphosphine. The required triflate (VI) was then obtained by nitrosation of aminonaphthyridine (V) in trifluromethanesulfonic acid/DMF. Finally, a second Suzuki coupling of (VI) with 4-carboxyphenylboronic acid (VII) provided the title 6,8-diarylnaphthyridine.

合成路线图解说明:

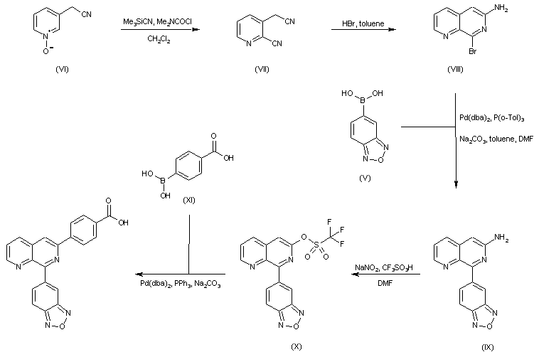
The precursor benzofurazan boronic acid (V) was prepared as follows. Bromination of o-nitroaniline (I) by means of N-bromosuccinimide in AcOH afforded 4-bromo-2-nitroaniline (II). Treatment of (II) with NaOCl gave rise to the 5 bromobenzofurazan N-oxide (III), which was reduced to (IV) employing triphenylphosphine in boiling xylene. Then, lithiation of (IV), followed by reaction with triethyl borate furnished the target boronic acid (V).

合成路线图解说明:

3-(Cyanomethyl)pyridine-N-oxide (VI) was converted to the pyridine dinitrile (VII) by treatment with cyanotrimethylsilane and dimethylcarbamoyl chloride. Cyclization of dinitrile (VII) in the presence of HBr gave rise to 6-amino-8-bromo-1,7-naphthyridine (VIII). Attachment of the benzofurazanyl moiety to (VIII) was performed by Suzuki coupling with boronic acid (V) in the presence of bis(dibenzylideneacetone)palladium and tri(o-tolyl)phosphine. The resultant 6 amino-8-aryl naphthyridine (IX) was subjected to diazotization in the presence of trifluoromethanesulfonic acid to furnish triflate (X). Further Suzuki coupling of triflate (X) with 4-carboxyphenylboronic acid (XI) led to the title compound.

合成路线图解说明:

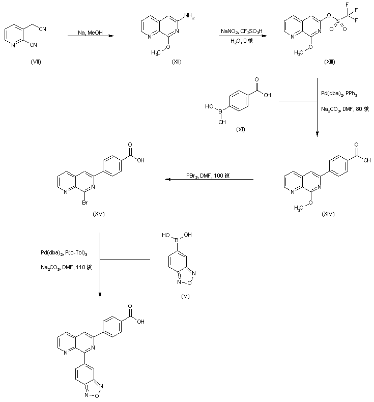
In an alternative synthetic procedure, dinitrile (VII) was cyclized in the presence of sodium methoxide to produce 6-amino-8-methoxy-1,7-naphthyridine (XII). This was converted to triflate (XIII) by diazotization in the presence of trifluoromethanesulfonic acid. Suzuki coupling of triflate (XIII) with 4 carboxyphenylboronic acid (XI) yielded adduct (XIV). The 8-methoxy group of (XIV) was then displaced with PBr3 to produce bromide (XV), which was subjected to further Suzuki coupling with the benzofurazan boronic acid (V) to provide the title compound.

参考文献No.567498
标题:Palladium-catalyzed cross-coupling reactions for the synthesis of 6,8-disubstituted 1,7-naphthyridines: A novel class of potent and selective phosphodiesterase type 4D inhibitors
作者:Hersperger, R.; Bray-French, K.; Mazzoni, L.; M黮ler, T.
来源:J Med Chem 2000,43(4),675
合成路线图解说明:

Reaction of 3-(cyanomethyl)pyridine-N-oxide (I) with cyanotrimethylsilane and dimethylcarbamoyl chloride provided dinitrile (II). Subsequent cyclization of (II) in the presence of HBr gave rise to 6-amino-8-bromo-1,7-naphthyridine (III). Attachment of a 3-nitrophenyl group to (III) to afford (V) was carried out by Suzuki coupling of (III) with 3-nitrophenylboronic acid (IV) in the presence of bis(dibenzylideneacetone)palladium and triphenylphosphine. The required triflate (VI) was then obtained by nitrosation of aminonaphthyridine (V) in trifluromethanesulfonic acid/DMF. Finally, a second Suzuki coupling of (VI) with 4-carboxyphenylboronic acid (VII) provided the title 6,8-diarylnaphthyridine.

Drug Information Express,Drug R&D,Chemical Database,Patent Search.
Copyright © 2006-2026 Drug Future. All rights reserved.Contact Us