【药物名称】
化学结构式(Chemical Structure):
参考文献No.567496
标题:Inhibitors of topoisomerase II based on the benzodiimidazole and dipyrroloimidazobenzimidazole ring systems: Controlling DT-diaphorase reductive inactivation with steric bulk
作者:Schulz, W.G.; Skibo, E.B.
来源:J Med Chem 2000,43(4),629
合成路线图解说明:

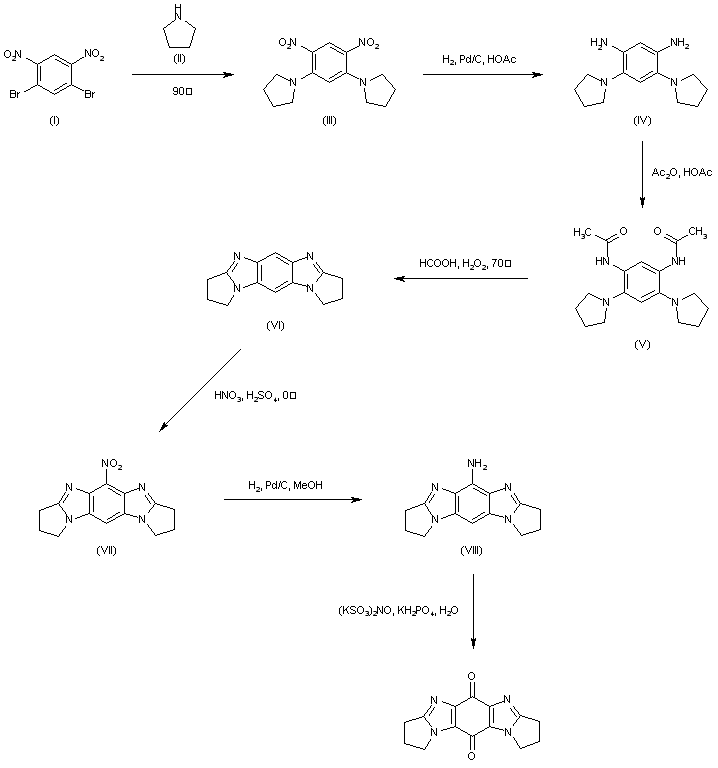
Treatment of 1,5-dibromo-2,4-dinitrobenzene (I) with pyrrolidine (II) afforded dipyrrolidino derivative (III). Reduction of the nitro groups of (III) by catalytic hydrogenation, followed by acetylation of amine (IV) provided diamide (V). Oxidative cyclization of (V) using H2O2 in the presence of formic acid gave rise to the dipyrroloimidazobenzimidazole system (VI). Quinone elaboration involved nitration of (VI) to (VII), nitro group reduction to amine (VIII), and finally amine oxidation employing Fremy's salt.

Drug Information Express,Drug R&D,Chemical Database,Patent Search.
Copyright © 2006-2026 Drug Future. All rights reserved.Contact Us