【药物名称】
化学结构式(Chemical Structure):
参考文献No.567485
标题:Chiral nonsteroidal affinity ligands for the androgen receptor. 1. Bicalutamide analogues bearing electrophilic groups in the B aromatic ring
作者:Kirkovsky, L.; Mukherjee, A.; Yin, D.; Dalton, J.T.; Miller, D.D.
来源:J Med Chem 2000,43(4),581
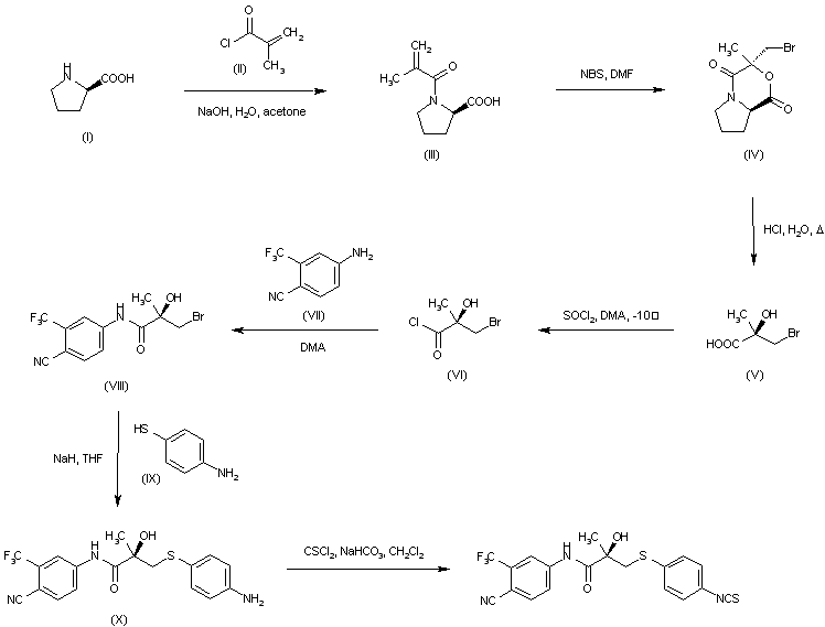
合成路线图解说明:

Coupling of the chiral auxiliary (R)-proline (I) with methacryloyl chloride (II) under Schotten-Baumann conditions provided amide (III). This was converted to bromolactone (IV) by asymmetric bromolactonization in the presence of N-bromosuccinimide. Subsequent acid hydrolysis yielded the chiral (R)-bromoacid (V), that was converted to acid chloride (VI) and then coupled with 4-amino-2-trifluoromethylbenzonitrile (VII) in DMA at low temperature to afford anilide (VIII). Coupling with 4-aminothiophenol (IX) using NaH in THF produced sulfide (X). Finally, conversion of the aniline precursor (X) to the target isothiocyanate was achieved by reaction with thiophosgene in the presence of NaHCO3.

参考文献No.568764
标题:Affinity labeling of the androgen receptor with nosteroidal chemoaffinity ligands
作者:Mukherjee, A.; Kirkovsky, L.I.; Kimura, Y.; Marvel, M.M.; Miller, D.D.; Dalton, J.T.
来源:Biochem Pharmacol 1999,58(8),1259
合成路线图解说明:

Coupling of the chiral auxiliary (R)-proline (I) with methacryloyl chloride (II) under Schotten-Baumann conditions provided amide (III). This was converted to bromolactone (IV) by asymmetric bromolactonization in the presence of N-bromosuccinimide. Subsequent acid hydrolysis yielded the chiral (R)-bromoacid (V), that was converted to acid chloride (VI) and then coupled with 4-amino-2-trifluoromethylbenzonitrile (VII) in DMA at low temperature to afford anilide (VIII). Coupling with 4-aminothiophenol (IX) using NaH in THF produced sulfide (X). Finally, conversion of the aniline precursor (X) to the target isothiocyanate was achieved by reaction with thiophosgene in the presence of NaHCO3.

Drug Information Express,Drug R&D,Chemical Database,Patent Search.
Copyright © 2006-2026 Drug Future. All rights reserved.Contact Us