【药物名称】
化学结构式(Chemical Structure):
参考文献No.38250
标题:beta-Alkoxyacrylates against malaria
作者:Matile, H.; Chollet, J.; Alzeer, J.; Ridley, R.G.; Hubschwerlen, C. (F. Hoffmann-La Roche AG)
来源:EP 0996439; WO 9902150
合成路线图解说明:

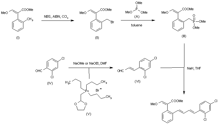
Bromination of acrylate derivative (I) by means of NBS and AIBN in CCl4 affords (II), which is then converted into (III) by reaction with trimethyl phosphite (A) in toluene. Wittig oxopropenylation of aldehyde (IV) with phosphonium bromide derivative (V) and NaOMe or NaOEt in DMF provides benzaldehyde derivative (VI), which finally reacts with phosphonate (III) and NaH by a Wittig-Horner reaction in THF.

参考文献No.567478
标题:Phenyl beta-methoxyacrylates: A new antimalarial pharmacophore
作者:Alzeer, J.; Chollet, J.; Heinze-Krauss, I.; Hubschwerlen, C.; Matile, H.; Ridley, R.G.
来源:J Med Chem 2000,43(4),560
合成路线图解说明:

Bromination of acrylate derivative (I) by means of NBS and AIBN in CCl4 affords (II), which is then converted into (III) by reaction with trimethyl phosphite (A) in toluene. Wittig oxopropenylation of aldehyde (IV) with phosphonium bromide derivative (V) and NaOMe or NaOEt in DMF provides benzaldehyde derivative (VI), which finally reacts with phosphonate (III) and NaH by a Wittig-Horner reaction in THF.

参考文献No.605981
标题:Preparation of conjugated aromatic polyenals by witting oxopropenylation
作者:McCoy, R.K.; Spangler, C.W.
来源:Synth Commun 1988,18(1),51
合成路线图解说明:

Bromination of acrylate derivative (I) by means of NBS and AIBN in CCl4 affords (II), which is then converted into (III) by reaction with trimethyl phosphite (A) in toluene. Wittig oxopropenylation of aldehyde (IV) with phosphonium bromide derivative (V) and NaOMe or NaOEt in DMF provides benzaldehyde derivative (VI), which finally reacts with phosphonate (III) and NaH by a Wittig-Horner reaction in THF.

Drug Information Express,Drug R&D,Chemical Database,Patent Search.
Copyright © 2006-2026 Drug Future. All rights reserved.Contact Us