【药物名称】
化学结构式(Chemical Structure):
参考文献No.567111
标题:Design and synthesis of novel thiazole-containing cross-linked polyamides related to tha antiviral antibiotic distamycin
作者:Sharma, S.K.; Tandon, M.; Lown, J.W.
来源:J Org Chem 2000,65(4),1102
合成路线图解说明:

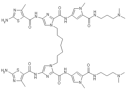
Alkylation of imidazole (I) with 1,7-dibromoheptane (II) by means of potassium (metal) in refluxing THF furnishes N,N'-bis-(1-imidazolyl)heptane (III), which is treated with trichloroacetyl chloride (IV) in CH2Cl2 to provide derivative (V). Nitration of (V) by means of nitric acid/sulfuric acid in Ac2O/CH2Cl2 yields compound (VI), which is then converted into intermediate (VIII) by coupling in DMF/THF with substituted pyrrole (VII). In turn, (VII) can be obtained as follows: Treatment of N-methylpyrrole (IX) with trichloroacetyl chloride (IV) in CH2Cl2 affords derivative (X), which is nitrated to yield compound (XI) in the same conditions as for nitration of (V). The last step involves coupling of (XI) with 3-(dimethylamino)propylamine (XII), followed by reduction of the nitro moiety by hydrogenation over Pd/C in DMF/MeOH. Finally, the target product can be obtained by first hydrogenation of intermediate (VIII) over Pd/C in DMF/MeOH, followed by reaction with DCC and HOBt in DMF to allow coupling with carboxylic acid (XIV), which can be obtained by saponification of ethyl ester (XIII) in EtOH.

Drug Information Express,Drug R&D,Chemical Database,Patent Search.
Copyright © 2006-2026 Drug Future. All rights reserved.Contact Us