【药物名称】
化学结构式(Chemical Structure):
参考文献No.567377
标题:Synthesis and enzyme inhibitory activities of a series of lipidic diamine and aminoalcohol derivatives on cytosolic and secretory phospholipases A2
作者:Lucas, R.; Ubeda, A.; Pay? M.; Alves, M.; del Olmo, E.; L髉ez, J.L.; San Feliciano, A.
来源:Bioorg Med Chem Lett 2000,10(3),285
合成路线图解说明:

N-Boc-2-Aminohexadecanoic acid (I) was reduced to the Boc-aminoalcohol (III) via conversion to the mixed anhydride (II), which was subsequently reduced with NaBH4. Alcohol (III) was protected as the benzyl ether (IV) by alkylation with benzyl chloride in the presence of NaH. After acid deprotection of the N-Boc group of (IV), the resultant primary amine (V) was monoalkylated with ethyl bromide under controlled conditions to afford (VI). Finally, hydrogenolysis of the benzyl ether function of (VI) over Pd/C furnished the title amino alcohol.

参考文献No.666170
标题:Leishmanicidal activity of some aliphatic diamines and amino-alcohols
作者:del Olmo, E.; Alves, M.; L髉ez, J.L.; Inchaustti, A.; Yaluff, G.; Rojas de Arias, A.; San Feliciano, A.
来源:Bioorg Med Chem Lett 2002,12(4),659
合成路线图解说明:

N-Boc-2-Aminohexadecanoic acid (I) was reduced to the Boc-aminoalcohol (III) via conversion to the mixed anhydride (II), which was subsequently reduced with NaBH4. Alcohol (III) was protected as the benzyl ether (IV) by alkylation with benzyl chloride in the presence of NaH. After acid deprotection of the N-Boc group of (IV), the resultant primary amine (V) was monoalkylated with ethyl bromide under controlled conditions to afford (VI). Finally, hydrogenolysis of the benzyl ether function of (VI) over Pd/C furnished the title amino alcohol.

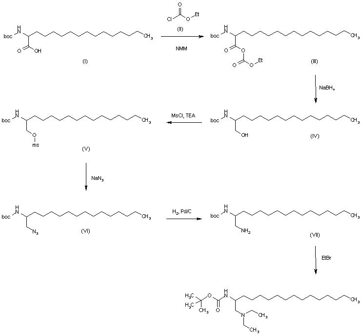
合成路线图解说明:

The reaction of 2-(tert-butoxycarbonylamino)hexadecanoic acid (I) with ethyl chloroformate (II) and NMM in THF gives the mixed anhydride (III), which is reduced by means of NaBH4 in methanol to yield the corresponding hexadecanol (IV). The reaction of (IV) with MsCl and TEA affords the mesylate (V), which is treated with sodium azide in DMF to provide the azido derivative (VI). The reduction of (VI) with H2 over Pd/C in chloroform gives the corresponding amine (VII), which is finally alkylated with ethyl bromide and TEA in DMF to yield the target tertiary amine.

Drug Information Express,Drug R&D,Chemical Database,Patent Search.
Copyright © 2006-2026 Drug Future. All rights reserved.Contact Us