【药物名称】Delucemine hydrochloride, NPS-1506
化学结构式(Chemical Structure):
参考文献No.40674
标题:Cpds. active at a novel site on receptor-operated calcium channels useful for treatment of neurological disorders and diseases
作者:Moe, S.T.; Mueller, A.L.; Vanwagenen, B.C.; Barmore, R.M.; Delmar, E.G.; Artman, L.D.; Balandrin, M.F.; Smith, D.L. (NPS Pharmaceuticals, Inc.)
来源:WO 9746511
合成路线图解说明:

Horner-Emmons condensation of 3,3'-difluorobenzophenone (I) with diethyl (cyanomethyl)phosphonate provided 3,3-bis(3-fluorophenyl)acrylonitrile (II). The olefinic double bond of (II) was then reduced using catalytic hydrogenation to give (III). After deprotonation of (III) with either lithium diisopropylamide or lithium hexamethyldisilazide at -78 C, alkylation with iodomethane afforded the racemic alpha-methyl nitrile (IV). Isolation of the required (R)-enantiomer (V) was accomplished by means of chiral HPLC. Finally, reduction of the nitrile group of (V) with borane-dimethyl sulfide complex provided the title amine, which was isolated as the hydrochloride salt.

合成路线图解说明:

Alternatively, the desired compound can be obtained as follows: Treatment of diethyl cyanomethyl phosphonate (VII) with NaH in dimethoxyethane (DME) followed by reaction with 3,3'-difluorobenzophenone (VIII) gives alkene derivative (IX), which is then hydrogenated over Pd(OH)2 to provide compound (X). Reduction of the cyano moiety of (X) by means of B2H6-THF followed by treatment with refluxing HCl yields substituted propylamine (XI), which is then converted into formamide (XIII) by treatment with refluxing ethyl formate (XII). Compound (XIII) is then reduced by means of borane-methyl sulfide in refluxing THF and finally treated with HCl. Propylamine (XI) can also be obtained following these steps: Treatment of benzophenone derivative (VIII) with n-BuLi and acetonitrile in THF affords cyano derivative (XIV), which is then hydrogenated over Ni/Al and NaOH in EtOH to furnish amine (XV). Elimination of the tertiary alcohol (XV) by refluxing with HCl in EtOH gives substituted diphenylpropenamine hydrochloride (XVI), which is hydrogenated over Pd/C in EtOH and finally subjected to hydrochloride salt neutralization.

合成路线图解说明:

The desired enantiomer was prepared by two chiral routes. Monoalkylation of (S)-alpha-methylbenzylamine (I) with benzyl bromide in N,N'-dimethylpropyleneurea gave the chiral secondary amine (II). Diastereoselective Michael addition of the lithium amide of (II) to benzyl crotonate (III) provided adduct (IV). The chiral ester (IV) was then reacted with the Grignard reagent (V) to yield the diaryl carbinol (VI). This was subsequently dehydrated to (VII) using H2SO4 in glacial HOAc. Double bond reduction and N-debenzylation of (VII) over Pearlman抯 catalyst provided the target primary amine, which was finally isolated as the hydrochloride salt.

参考文献No.41856
标题:Methods and cpds. for treating depression and other disorders
作者:Moe, S.; Mueller, A.; Balandrin, M. (NPS Pharmaceuticals, Inc.)
来源:EP 1096926; WO 0002551
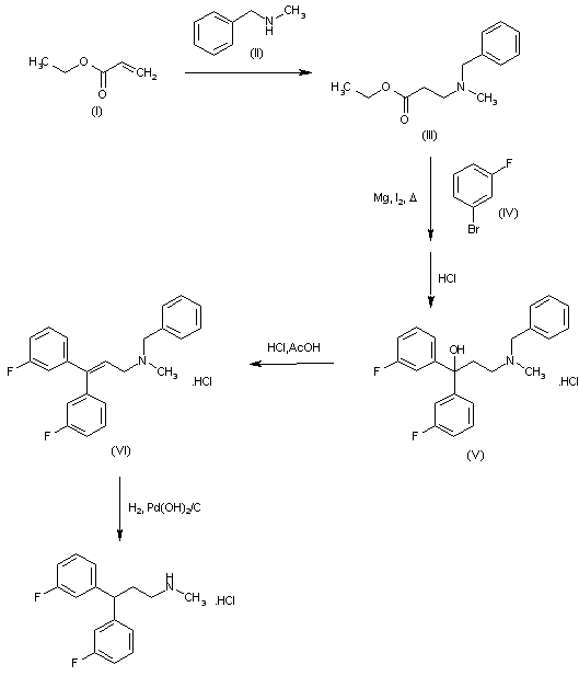
合成路线图解说明:

Treatment of ethyl acrylate (I) with N-benzylmethylamine (II) affords aminopropionate derivative (III), which is then subjected to Grignard reaction with 3-bromoflurobenzene (IV) by means of Mg and catalytic iodine in refluxing THF and crystallized as a hydrochloride salt by treatment with HCl to provide propylamino derivative (V). Alcohol (V) is converted into allylamine (VI) by elimination induced by heating with HCl/HOAc, and finally the target product is obtained by hydrogenation of (VI) catalyzed by Pd(OH)2/C in EtOH.

参考文献No.43702
标题:Cpds. active at a novel site on receptor-operated calcium channels useful for treatment of neurological disorders and diseases
作者:Barmore, R.M.; DelMar, E.G.; Balandrin, M.F.; VanWagenen, B.C.; Artman, L.D.; Mueller, A.L.; Moe, S.T. (NPS Pharmaceuticals, Inc.)
来源:US 6071970
合成路线图解说明:

This compound has been obtained by two related ways: 1) The condensation of 3,3'-difluorobenzophenone (I) with diethyl cyanomethylphosphonate (II) by means of NaH in dimethoxyethane gives 3,3-bis(3-fluorophenyl)-2-propenenitrile (III), which is reduced with H2 over Pd(OH)2 in ethanol yielding 3,3-bis(3-fluorophenyl)propionitrile (IV). Finally, this compound is reduced with B2H6 in THF. 2) The condensation of 3,3'-difluorobenzophenone (I) with acetonitrile (V) by means of BuLi in THF gives 3,3-bis(3-fluorophenyl)-3-hydroxypropionitrile (VI), which is reduced with H2 over Ni/Al in ethanol yielding 3,3-bis(3-fluorophenyl)-3-hydroxypropylamine (VII). The dehydration of (VII) by means of HCl in refluxing ethanol affords 3,3-bis(3-fluorophenyl)-2-propenamine (VIII), which is finally reduced with H2 over Pd/C in ethanol.

合成路线图解说明:

Alternatively, the desired compound can be obtained as follows: Treatment of diethyl cyanomethyl phosphonate (VII) with NaH in dimethoxyethane (DME) followed by reaction with 3,3'-difluorobenzophenone (VIII) gives alkene derivative (IX), which is then hydrogenated over Pd(OH)2 to provide compound (X). Reduction of the cyano moiety of (X) by means of B2H6-THF followed by treatment with refluxing HCl yields substituted propylamine (XI), which is then converted into formamide (XIII) by treatment with refluxing ethyl formate (XII). Compound (XIII) is then reduced by means of borane-methyl sulfide in refluxing THF and finally treated with HCl. Propylamine (XI) can also be obtained following these steps: Treatment of benzophenone derivative (VIII) with n-BuLi and acetonitrile in THF affords cyano derivative (XIV), which is then hydrogenated over Ni/Al and NaOH in EtOH to furnish amine (XV). Elimination of the tertiary alcohol (XV) by refluxing with HCl in EtOH gives substituted diphenylpropenamine hydrochloride (XVI), which is hydrogenated over Pd/C in EtOH and finally subjected to hydrochloride salt neutralization.

合成路线图解说明:

The desired enantiomer was prepared by two chiral routes. Monoalkylation of (S)-alpha-methylbenzylamine (I) with benzyl bromide in N,N'-dimethylpropyleneurea gave the chiral secondary amine (II). Diastereoselective Michael addition of the lithium amide of (II) to benzyl crotonate (III) provided adduct (IV). The chiral ester (IV) was then reacted with the Grignard reagent (V) to yield the diaryl carbinol (VI). This was subsequently dehydrated to (VII) using H2SO4 in glacial HOAc. Double bond reduction and N-debenzylation of (VII) over Pearlman抯 catalyst provided the target primary amine, which was finally isolated as the hydrochloride salt.

Drug Information Express,Drug R&D,Chemical Database,Patent Search.
Copyright © 2006-2026 Drug Future. All rights reserved.Contact Us