【药物名称】
化学结构式(Chemical Structure):
参考文献No.567373
标题:3-Imidazolylmethylaminophenylsulfonyltetrahydroquinolines, a novel series of farnesyltransferase inhibitors
作者:Ding, C.Z.; Hunt, J.T.; Ricca, C.; Manne, V.
来源:Bioorg Med Chem Lett 2000,10(3),273
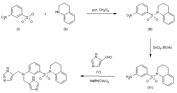
合成路线图解说明:

Condensation of 3-nitrobenzenesulfonyl chloride (I) with tetrahydroquinoline (II) in the presence of pyridine gave sulfonamide (III). Reduction of the nitro group of (III) with stannous chloride produced the aniline derivative (IV). The title compound was then obtained by reductive alkylation of amine (IV) with 4-formylimidazole (V) using sodium triacetoxyborohydride as the reducing reagent.

Drug Information Express,Drug R&D,Chemical Database,Patent Search.
Copyright © 2006-2026 Drug Future. All rights reserved.Contact Us