【药物名称】
化学结构式(Chemical Structure):
参考文献No.567367
标题:Amido-(propyl and allyl)-hydroxybenzamidines: Development of achiral inhibitors of factor Xa
作者:Gong, Y.; Pauls, H.W.; Spada, A.P.; Czekaj, M.; Liang, G.; Chu, V.; Colussi, D.J.; Brown, K.D.; Gao, J.
来源:Bioorg Med Chem Lett 2000,10(3),217
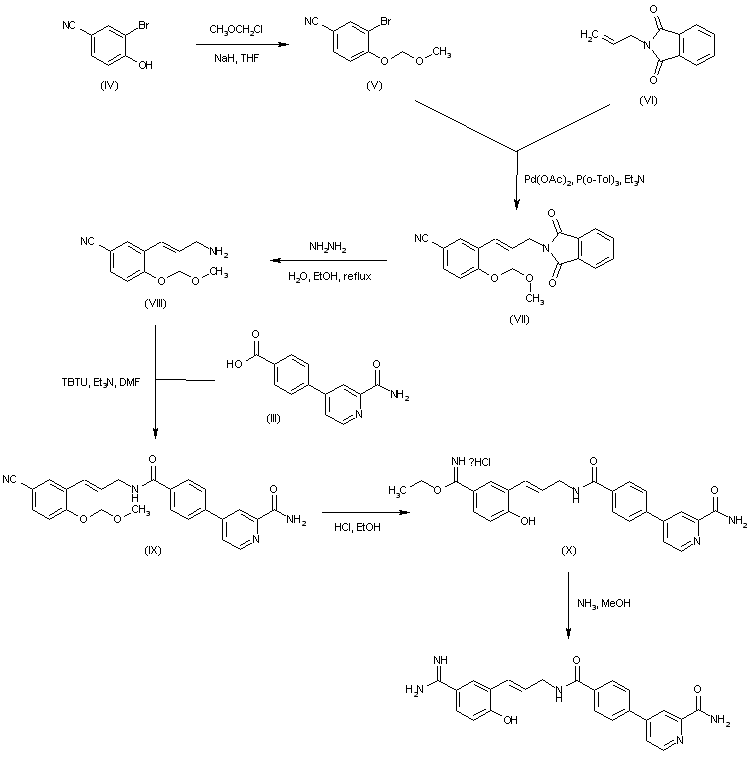
合成路线图解说明:

The intermediate pyridylbenzoic acid (III) was prepared by treatment of pyridine-N-oxide (I) with trimethylsilyl cyanide, followed by acid hydrolysis of the cyano and ester groups

合成路线图解说明:

3-Bromo-4-hydroxybenzonitrile (IV) was protected as the methoxymethyl ether (V). Subsequent Heck reaction with N-allyl phthalimide (VI) produced adduct (VII). The phthaloyl group OF (VII) was then removed by hydrazinolysis to yield the primary amine (VIII), which was coupled with carboxylic acid (III) using TBTU to afford amide (IX). Pinner reaction of (IX) with concomitant methoxymethyl group deprotection gave imidate (X). Finally, ammonolysis of the imidate group of (X) furnished the title amidine.

Drug Information Express,Drug R&D,Chemical Database,Patent Search.
Copyright © 2006-2026 Drug Future. All rights reserved.Contact Us