【药物名称】
化学结构式(Chemical Structure):
参考文献No.45782
标题:3a,4,5,9b-Tetrahydro-1H-benz[e]indol-2-yl amine-derived neuropeptide Y receptor ligands useful in the treatment of obesity and other disorders
作者:Dax, S.; McNally, J. (Ortho-McNeil Pharmaceutical, Inc.)
来源:WO 0068197
合成路线图解说明:

The condensation of 6-methoxy-2-tetralone (I) with pyrrolidine (II) in methanol gives the enamine (III), which is treated with 2-bromoacetonitrile (IV) to yield the pyrrolidinium salt (V). The hydrolysis of (V) with acetic acid in dichloromethane/methanol affords 2-(2-oxo-1,2,3,4-tetrahydronaphthalen-1-yl)acetonitrile (VI), which is cyclized with ammonium acetate and NaBH3CN in refluxing methanol to provide the benzoindole derivative (VII). The condensation of (VII) with trans-4-(phenylsulfonamidomethyl)cyclohexanecarboxylic acid (VIII) by means of HBTU and DIEA in DMF gives the corresponding amide (IX), which is reduced with LiAlH4 in THF to yield the secondary amine (X). Finally, this compound is demethylated by means of BBr3 in dichloromethane.

参考文献No.567366
标题:N-(Sulfonamido)alkyl[tetrahydro-1H-benzo[e]indol-2-yl]amines: Potent antagonists of human neuropeptide Y Y5 receptor
作者:McNally, J.J.; Youngman, M.A.; Lovenverg, T.W.; Nepomuceno, D.H.; Wilson, S.J.; Dax, S.L.
来源:Bioorg Med Chem Lett 2000,10(3),213
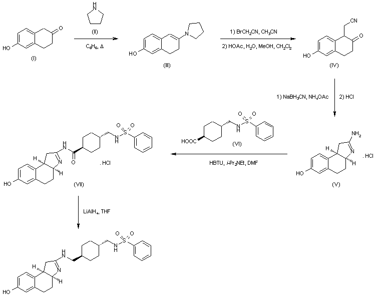
合成路线图解说明:

Enamine (III), prepared from beta-tetralone (I) by condensation with pyrrolidine (II) in refluxing benzene, was alkylated with bromoacetonitrile to provide, after hydrolytic treatment, keto nitrile (IV). Reductive amination of (IV) with ammonium acetate and NaBH3CN in MeOH furnished the benzo[e]indole tricyclic derivative (V), isolated as the hydrochloride salt. Coupling of (V) with trans-4-[(benzenesulfonamido) methyl]cyclohexanecarboxylic acid (VI) using O-benzotriazol-1-yl-N,N,N?N?tetramethyluronium hexafluorophosphate (HBTU) gave amide (VII). This was finally reduced to the corresponding amine employing LiAlH4 in THF.

Drug Information Express,Drug R&D,Chemical Database,Patent Search.
Copyright © 2006-2026 Drug Future. All rights reserved.Contact Us