【药物名称】FT-Alz
化学结构式(Chemical Structure):
参考文献No.567364
标题:Preparation of 5-(2,6-dideoxy-2-fluoro-alpha-L-talopyranosyloxy)-6-hydroxynaphtho[2,3-f]quinoline-7,12-dione (FT-Alz), a new-type, potentially antitumor substance with various biological activities
作者:Tsuchiya, T.; Takagi, Y.; Yamada, H.
来源:Bioorg Med Chem Lett 2000,10(3),203
合成路线图解说明:

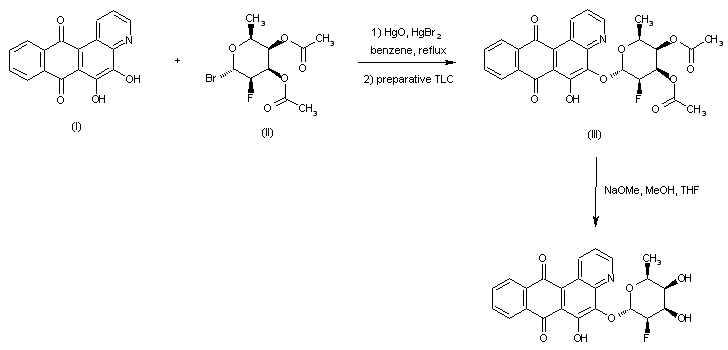
Coupling of alizarin blue (I) with the pyranosyl bromide (II) under Koenigs-Knorr conditions in the presence of HgO and HgBr2 afforded the target 5-talopyranoside derivative (III) along with minor amounts of the 5,6-bis-talopyranoside, which were separated by preparative thin layer chromatography. Deacetylation of (III) using NaOMe in MeOH-THF then gave the title compound.

Drug Information Express,Drug R&D,Chemical Database,Patent Search.
Copyright © 2006-2026 Drug Future. All rights reserved.Contact Us