【药物名称】Olcegepant, BIBN-4096, BIBN-4096BS
化学结构式(Chemical Structure):
参考文献No.42293
标题:Modified aminoacids, pharmaceuticals containing these cpds. and methods for their production
作者:Eberlein, W.; Wienen, W.; Doods, H.; Rudolf, K.; Entzeroth, M.; Pieper, H.; Engel, W.; Hallermayer, G. (Dr. Karl Thomae GmbH)
来源:JP 2000505100; WO 9811128
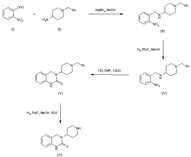
合成路线图解说明:

The reductive amination of 2-nitrobenzaldehyde (I) with 4-amino-1-benzylpiperidine (II) in the presence of NaBH4 gave amine (III). Subsequent hydrogenation of the nitro group of (III) over Rh/C afforded (IV), which was converted to oxoquinazoline (V) upon treatment with carbonyl diimidazole in hot DMF. Hydrogenolysis of the benzyl protecting group of (V) yielded intermediate (VI).

合成路线图解说明:

Coupling of Nalpha-Cbz-Nepsilon-Boc-L-lysine (VII) with N-(4-pyridinyl)piperazine (VIII) using TBTU and HOBt afforded amide (IX). After deprotection of the carbobenzoxy group by of (IX) hydrogenation over Pd/C, the resulting amino derivative (X) was coupled with N-Fmoc-3,5-dibromo-D-tyrosine (XI) to furnish the protected dipeptide amide (XII). Removal of the Fmoc protecting group of (XII) was then achieved by treatment with diethylamine in hot MeOH yielding (XIII). After treatment of piperidinyl oxoquinazoline (VI) with carbonyl ditriazole, the resulting intermediate was coupled with amine (XIII) to produce urea (XIV). Finally, removal of the Boc group of (XIV) using trifluoroacetic acid provided the title compound.

合成路线图解说明:

Condensation between 3,5-dibromotyrosine methyl ester (I) and 4-(2-oxo-2,3-dihydro-1H-benzimidazol-1-yl)piperidine (II) in the presence of carbonyl ditriazole (CDT) furnished the asymmetric urea (III). Subsequent hydrolysis of the ester group using LiOH provided carboxylic acid (IV). This was finally coupled with N-phenylpiperazine (V) employing O-benzotriazolyl-N,N,N',N'-tetramethyluronium tetrafluoroborate and 1-hydroxybenzotriazole to yield the corresponding amide.

Drug Information Express,Drug R&D,Chemical Database,Patent Search.
Copyright © 2006-2026 Drug Future. All rights reserved.Contact Us