【药物名称】BIIE-0246
化学结构式(Chemical Structure):
参考文献No.42218
标题:Novel substd. amino acid derivs., process for their preparation and pharmaceutical compsns. containing them
作者:Gaida, W.; Schnorrenberg, G.; Dollinger, H.; Doods, H.N.; Esser, F.; Rudolf, K.; Mihm, G. (Boehringer Ingelheim Pharma KG)
来源:DE 19816929
合成路线图解说明:

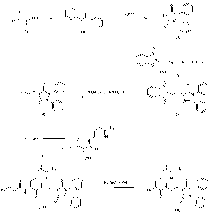
The condensation of ethyl allophanate (I) with diphenylhydrazine (II) produced 1,2-diphenylurazole (III). Alkylation of (III) with N-(2-bromoethyl)phthalimide (IV) in the presence of potassium tert-butoxide afforded the 4-(2-phthalimidoethyl)urazole (V), and the subsequent hydrazinolysis of the phthalimide group of (V) yielded the amino derivative (VI). Then, coupling of (VI) with N-(benzyloxycarbonyl)arginine (VII) via activation with 1,1'-carbonyldiimidazole (CDI) furnished amide (VIII). Deprotection of the N-benzyloxycarbonyl group of (VIII) to give (IX) was effected by catalytic hydrogenation over Pd/C.

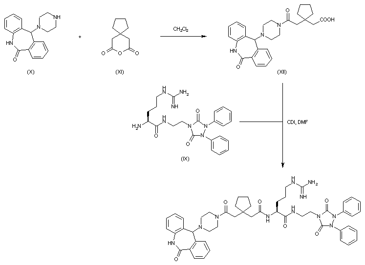
合成路线图解说明:

Condensation of piperazinyl dibenzoazepinone (X) with 3,3-tetramethyleneglutaric anhydride (XI) produced piperazide (XII). Further condensation of (XII) with arginine derivative (IX) using CDI yielded the title compound.

Drug Information Express,Drug R&D,Chemical Database,Patent Search.
Copyright © 2006-2026 Drug Future. All rights reserved.Contact Us