【药物名称】Bradyzide
化学结构式(Chemical Structure):
参考文献No.569162
标题:1-(2-Nitrophenyl)thiosemicarbazides: A novel class of potent, orally active non-peptide antagonist for the bradykinin B2 receptor
作者:Dziadulewicz, E.K.; Ritchie, T.J.; Hallett, A.; Snell, C.R.; Ko, S.Y.; Hughes, G.A.; Dunstan, A.R.; Bloomfield, G.C.; Drake, G.S.; Brown, M.C.; Lee, W.; Burgess, G.M.; Davis, C.; Yaqoob, M.; Perkins, M.N.; Campbell, E.A.; Davis, A.J.; Rang, H.P.
来源:J Med Chem 2000,43(5),769
合成路线图解说明:

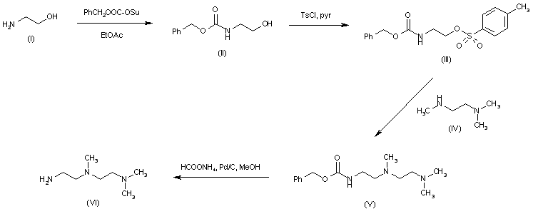
Ethanolamine (I) was protected as the N-benzyloxycarbonyl derivative (II) and subsequently converted to tosylate (III). Alkylation of N,N,N'-trimethylethylenediamine (IV) with tosylate (III) produced triamine (V). The benzyloxycarbonyl protecting group was then removed by transfer hydrogenolysis with ammonium formate and Pd/C to yield triamine (VI).

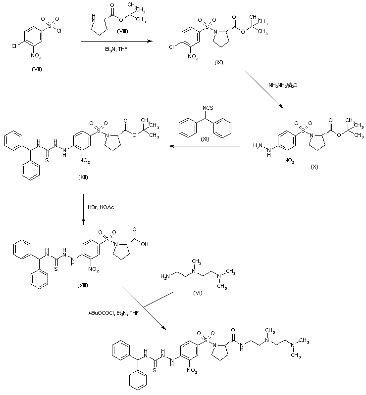
合成路线图解说明:

Condensation of 4-chloro-3-nitrobenzenesulfonyl chloride (VII) with L-proline tert-butyl ester (VIII) yielded sulfonamide (IX). Displacement of the chloro group of (IX) with hydrazine hydrate furnished the aryl hydrazine (X), which was reacted with benzhydryl isothiocyanate (XI) to produce the thiosemicarbazide (XII). After acid cleavage of the tert-butyl ester of (XII), the resulting carboxylic acid (XIII) was activated with isobutyl chloroformate and then coupled with triamine (VI) to furnish the title amide.

Drug Information Express,Drug R&D,Chemical Database,Patent Search.
Copyright © 2006-2026 Drug Future. All rights reserved.Contact Us