【药物名称】R-1270, ICN-17261, Levovirin
化学结构式(Chemical Structure):
参考文献No.42202
标题:Monocyclic L-nucleosides, analogs and uses thereof
作者:Ramasamy, K.; Averett, D.; Tam, R. (ICN Pharmaceuticals, Inc.)
来源:EP 1027359; WO 9816186
合成路线图解说明:

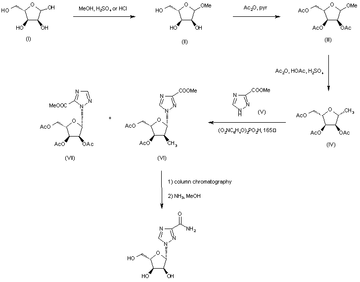
Treatment of L-ribose (I) with MeOH in the presence of acid catalyst gave 1-O-methyl ribofuranoside (II), which was esterified with Ac2O in pyridine to afford triacetate (III). Subsequent treatment with Ac2O and AcOH produced tetraacetyl ribofuranoside (IV). Condensation of (IV) with methyl 1,2,4-triazole-3-carboxylate (V) using a catalytic amount of bis(p-nitrophenyl)phosphate at high temperature provided the desired nucleoside (VI) along with minor amounts of its triazole regioisomer (VII), which were separated by column chromatography. Displacement of the methyl ester of (VII) with methanolic ammonia, with concomitant deprotection of the acetate esters furnished the title carboxamide.

参考文献No.566580
标题:Monocyclic L-nucleosides with type 1 cytokine-inducing activity
作者:Ramasamy, K.S.; Tam, S.; Bard, J.; Averett, D.R.
来源:J Med Chem 2000,43(5),1019
合成路线图解说明:

Treatment of L-ribose (I) with MeOH in the presence of acid catalyst gave 1-O-methyl ribofuranoside (II), which was esterified with Ac2O in pyridine to afford triacetate (III). Subsequent treatment with Ac2O and AcOH produced tetraacetyl ribofuranoside (IV). Condensation of (IV) with methyl 1,2,4-triazole-3-carboxylate (V) using a catalytic amount of bis(p-nitrophenyl)phosphate at high temperature provided the desired nucleoside (VI) along with minor amounts of its triazole regioisomer (VII), which were separated by column chromatography. Displacement of the methyl ester of (VII) with methanolic ammonia, with concomitant deprotection of the acetate esters furnished the title carboxamide.

Drug Information Express,Drug R&D,Chemical Database,Patent Search.
Copyright © 2006-2026 Drug Future. All rights reserved.Contact Us