【药物名称】AG-5473
化学结构式(Chemical Structure):
参考文献No.41957
标题:Cpds., compsns., and methods for stimulating neuronal growth and elongation
作者:Tada, H.; Kalish, V.; Kato, S.; Villafranca, J.E.; Tatlock, J.H.; Linton, M.A.; Kawakami, H. (Agouron Pharmaceuticals, Inc.)
来源:WO 0004020
合成路线图解说明:

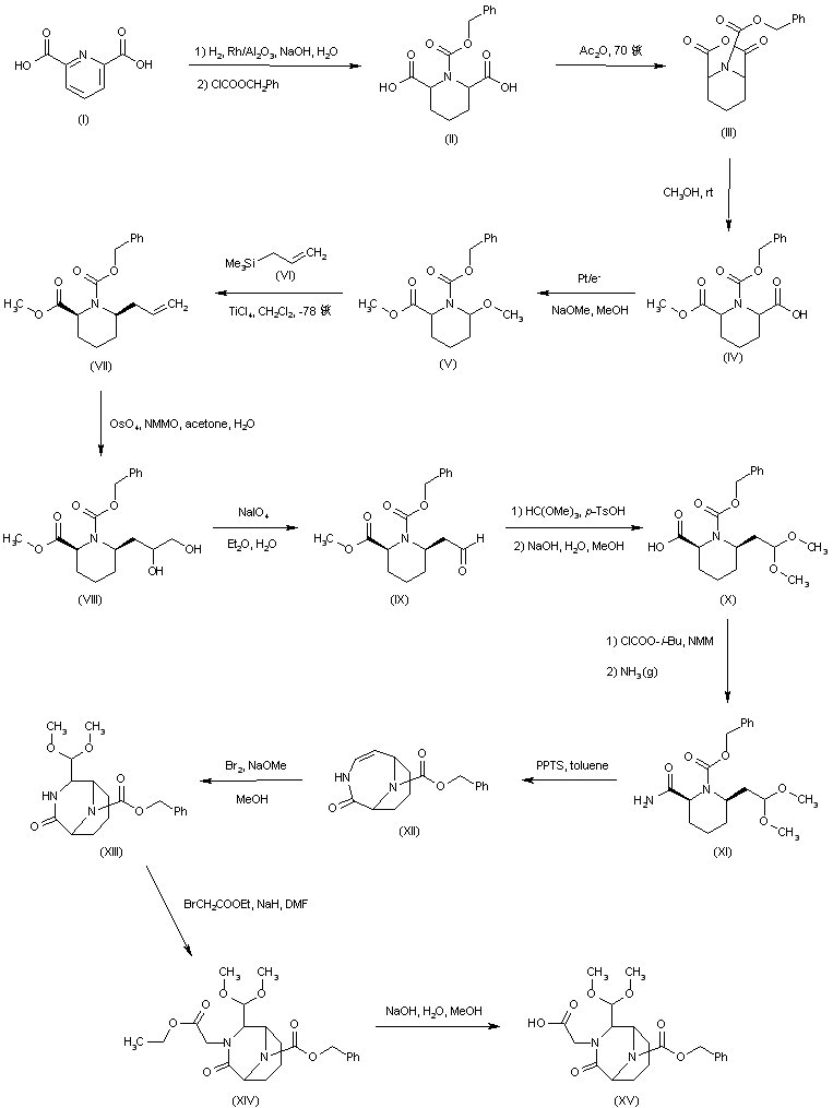
Pyridine-2,6-dicarboxylic acid (I) was hydrogenated to the corresponding piperidine, which was subsequently protected as the N-benzyloxycarbonyl derivative (II). The dicarboxylic acid (II) was converted into the cyclic anhydride (III) upon heating with Ac2O. Anhydride (III) was then dissolved in MeOH to produce the mono ester (IV). The electrochemical oxidation of acid (IV) in methanol gave rise to the methoxypiperidine (V). The methoxy group of (V) was then displaced by allyl trimethylsilane (VI) in the presence of TiCl4 to furnish the allyl piperidine (VII), which was further oxidized to diol (VIII) employing OsO4 and N-methylmorpholine-N-oxide. Then, oxidative cleavage of diol (VIII) by means of NaIO4 gave aldehyde (IX). After aldehyde (IX) ketalization with trimethyl orthoformate, basic hydrolysis of the methyl ester group provided carboxylic acid (X). This was activated as the mixed anhydride with isobutyl chloroformate and then treated with ammonia to afford amide (XI). The cyclization of the ketal amide (XI) upon treatment with pyridinium p-toluenesulfonate gave rise to the bicyclic derivative (XII). Upon bromination of (XII) in the presence of NaOMe, the bicyclic compound (XII) rearranged to the ketal lactam (XIII). Alkylation of the lactam nitrogen of (XIII) with ethyl bromoacetate and NaH produced ester (XIV), which was then hydrolyzed to the carboxylic acid (XV).

合成路线图解说明:

Carboxylic acid (XV) was coupled with cyclopentylamine (XVI) using EDC and HOBt to produce amide (XVII), which was cyclized to the fused pyrazinone derivative (XVIII) by treatment with pyridinium p-toluenesulfonate in toluene. The benzyloxycarbonyl group of (XVIII) was then removed by catalytic hydrogenation to give amine (XIX). This was finally coupled with (3,4,5-trimethoxyphenyl)glyoxylic acid (XX) to yield the title amide.

合成路线图解说明:

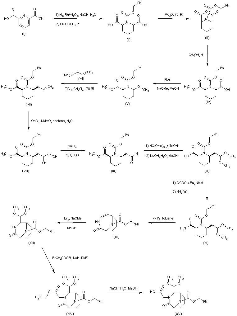
Pyridine-2,6-dicarboxylic acid (I) was hydrogenated to the corresponding piperidine, which was subsequently protected as the N-benzyloxycarbonyl derivative (II). The dicarboxylic acid (II) was converted into the cyclic anhydride (III) upon heating with Ac2O. Anhydride (III) was then dissolved in MeOH to produce the mono ester (IV). The electrochemical oxidation of acid (IV) in methanol gave rise to the methoxypiperidine (V). The methoxy group of (V) was then displaced by allyl trimethylsilane (VI) in the presence of TiCl4 to furnish the allyl piperidine (VII), which was further oxidized to diol (VIII) employing OsO4 and N-methylmorpholine-N-oxide. Then, oxidative cleavage of diol (VIII) by means of NaIO4 gave aldehyde (IX). After aldehyde (IX) ketalization with trimethyl orthoformate, basic hydrolysis of the methyl ester group provided carboxylic acid (X). This was activated as the mixed anhydride with isobutyl chloroformate and then treated with ammonia to afford amide (XI). The cyclization of the ketal amide (XI) upon treatment with pyridinium p-toluenesulfonate gave rise to the bicyclic derivative (XII). Upon bromination of (XII) in the presence of NaOMe, the bicyclic compound (XII) rearranged to the ketal lactam (XIII). Alkylation of the lactam nitrogen of (XIII) with ethyl bromoacetate and NaH produced ester (XIV), which was then hydrolyzed to the carboxylic acid (XV).

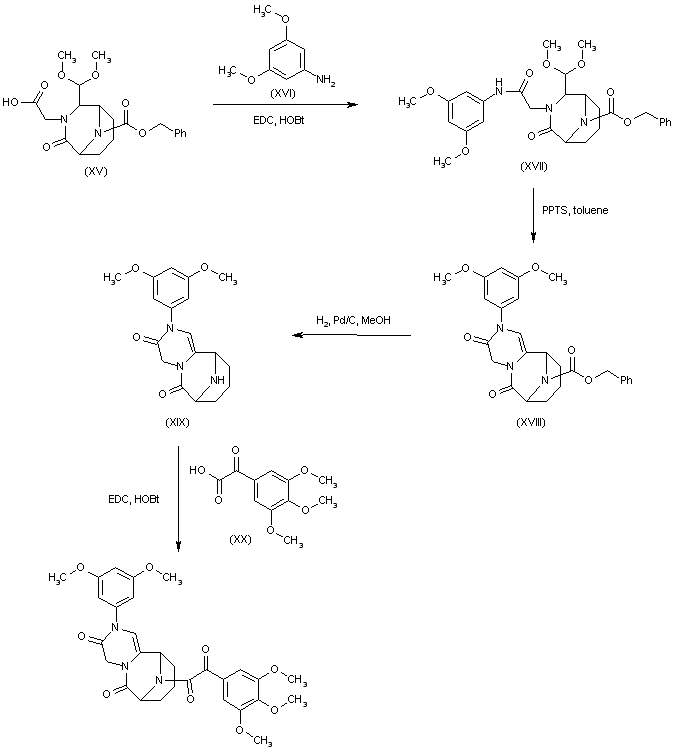
合成路线图解说明:

Carboxylic acid (XV) was coupled with 3,5-dimethoxyaniline (XVI) using EDC and HOBt to produce amide (XVII), which was cyclized to the fused pyrazinone derivative (XVIII) by treatment with pyridinium p-toluenesulfonate in toluene. The benzyloxycarbonyl group of (XVIII) was then removed by catalytic hydrogenation to give amine (XIX). This was finally coupled with (3,4,5-trimethoxyphenyl)glyoxylic acid (XX) to yield the title amide.

参考文献No.588661
标题:A concise synthesis of AG5473/5507 utilizing N-acyliminium ion chemistry
作者:Reich, S.; Guo, C.X.; Villafranca, E.; Showalter, R.; Dong, L.
来源:Tetrahedron Lett 2000,41(28),5307
合成路线图解说明:

Carboxylic acid (XV) was coupled with cyclopentylamine (XVI) using EDC and HOBt to produce amide (XVII), which was cyclized to the fused pyrazinone derivative (XVIII) by treatment with pyridinium p-toluenesulfonate in toluene. The benzyloxycarbonyl group of (XVIII) was then removed by catalytic hydrogenation to give amine (XIX). This was finally coupled with (3,4,5-trimethoxyphenyl)glyoxylic acid (XX) to yield the title amide.

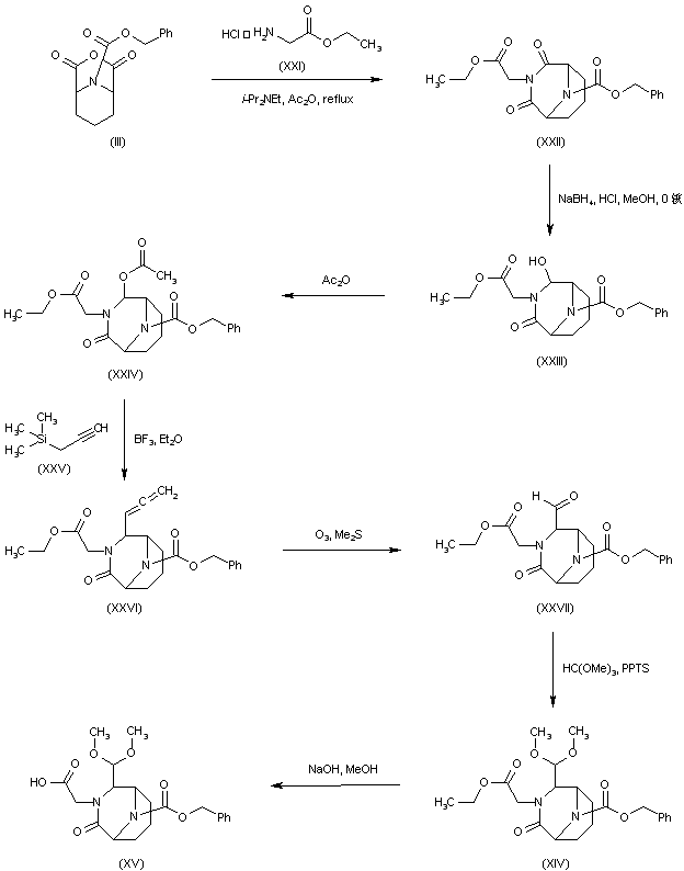
合成路线图解说明:

The synthesis of the intermediate carboxylic acid (XV) has been reported by an alternative procedure. The cyclic anhydride (III) was condensed with glycine ethyl ester (XXI) in refluxing Ac2O, yielding the cyclic imide (XXII). Reduction of the imide (XXII) with NaBH4 produced the aminal (XXIII), which was subsequently converted to the more reactive acetoxyamide (XXIV). Boron trifluoride-catalyzed addition of propargyl trimethylsilane (XXV) to the acetoxyamide (XXIV) gave rise to allene (XXVI). This underwent smooth ozonolysis to the aldehyde (XXVII). After protection of the aldehyde (XXVII) as the dimethyl acetal (XIV), hydrolysis of the ethyl ester group gave the intermediate carboxylic acid (XV).

合成路线图解说明:

Carboxylic acid (XV) was coupled with 3,5-dimethoxyaniline (XVI) using EDC and HOBt to produce amide (XVII), which was cyclized to the fused pyrazinone derivative (XVIII) by treatment with pyridinium p-toluenesulfonate in toluene. The benzyloxycarbonyl group of (XVIII) was then removed by catalytic hydrogenation to give amine (XIX). This was finally coupled with (3,4,5-trimethoxyphenyl)glyoxylic acid (XX) to yield the title amide.

合成路线图解说明:

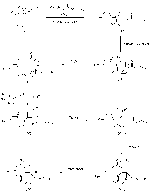
The synthesis of the intermediate carboxylic acid (XV) has been reported by an alternative procedure. The cyclic anhydride (III) was condensed with glycine ethyl ester (XXI) in refluxing Ac2O, yielding the cyclic imide (XXII). Reduction of the imide (XXII) with NaBH4 produced the aminal (XXIII), which was subsequently converted to the more reactive acetoxyamide (XXIV). Boron trifluoride-catalyzed addition of propargyl trimethylsilane (XXV) to the acetoxyamide (XXIV) gave rise to allene (XXVI). This underwent smooth ozonolysis to the aldehyde (XXVII). After protection of the aldehyde (XXVII) as the dimethyl acetal (XIV), hydrolysis of the ethyl ester group gave the intermediate carboxylic acid (XV).

Drug Information Express,Drug R&D,Chemical Database,Patent Search.
Copyright © 2006-2026 Drug Future. All rights reserved.Contact Us