【药物名称】
化学结构式(Chemical Structure):
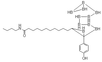
参考文献No.566796
标题:New estrogenic antagonists bearing dicarba-closo-dodecaborane as a hydrophobic pharmacophore
作者:Endo, Y.; Yoshimi, T.; Yamakosh, Y.
来源:Chem Pharm Bull 2000,48(2),312
合成路线图解说明:

Reaction of 4-ethynylanisole (I) with nido-decaborane (II) in acetonitrile/benzene affords compound (III), which is then converted into (V) by reaction with BuLi in DME followed by treatment with CuCl and condensation with 2-(11-bromo-n-undecyloxy)tetrahydro-2H-pyran (IV) in pyridine. Removal of the THP group with p-toluenesulfonic acid in MeOH gives alcohol (VI), which is oxidized with CrO3 and H2SO4 in acetone to provide carboxylic acid (VIII) and ester (VII). Ester (VII) is then converted into carboxylic acid (VIII) by hydrolysis with H2SO4 in dioxane/H2O, which is demethylated with BBr3 in CH2Cl2. Finally, the resulting compound is coupled with butylamine (IX) by means of DCC in acetonitrile.

Drug Information Express,Drug R&D,Chemical Database,Patent Search.
Copyright © 2006-2026 Drug Future. All rights reserved.Contact Us