【药物名称】
化学结构式(Chemical Structure):
参考文献No.23976
标题:Phenoxyalkylamines, -pyrrolidines and -piperidines for the treatment and prevention of circulatory diseases and psychosis
作者:Fujimoto, K.; Tanaka, N.; Asai, F.; Ito, T.; Koike, H. (Sankyo Co., Ltd.)
来源:EP 0600717; JP 1994234736; JP 1994306025; US 5556864
合成路线图解说明:

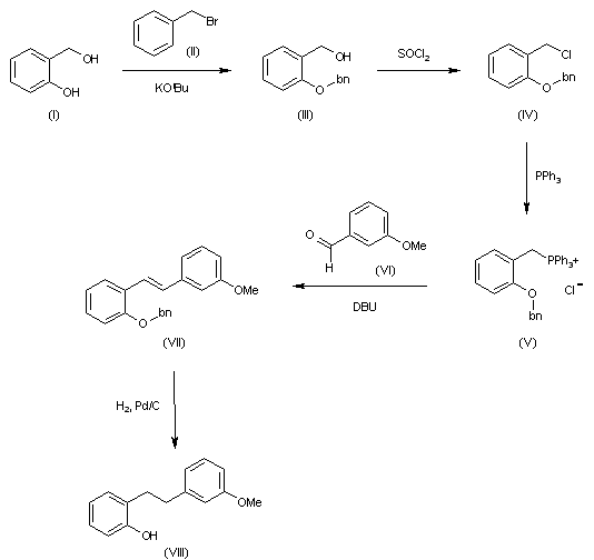
Synthesis of intermediate (VIII): Condensation of salicyl alcohol (I) with benzyl bromide (II) by means of KOtBu in DMF gives 2-benzyloxybenzyl alcohol (III), which is converted into chloride (IV) by reaction with SOCl2 in THF. Treatment of derivative (IV) with PPh3 in refluxing toluene furnishes triphenylphosphonium chloride (V), which is condensed with aldehyde (VI) by means of DBU in acetonitrile to afford benzyloxystilbene derivative (VII). Finally, intermediate (VIII) is obtained by hydrogenation of (VII) over Pd/C in EtOH.

合成路线图解说明:

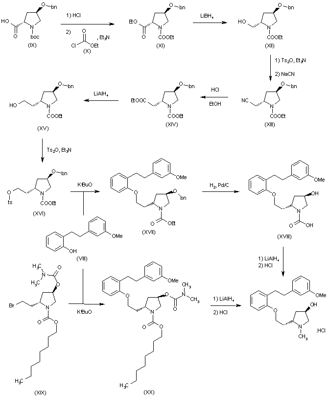
Synthesis of EN 212779: Deprotection and esterification of pyrrolidine (IX) by first treatment with HCl (gas) in EtOH followed by reaction with ethyl chloroformate (X) and Et3N in acetone/H2O yields carbamate (XI), which is then reduced with LiBH4 in THF to give carbinol (XII). Conversion of alcohol (XII) into cyano derivative (XIII) is then accomplished by first tosylation with p-toluenesulfonic anhydride (Ts2O) and Et3N in dichloromethane followed by reaction with NaCN in DMF. Acidic ethanolysis of nitrile (XIII) by means of HCl in EtOH furnishes ethyl ester (XIV), which is reduced with LiAlH4 in THF to provide ethanol derivative (XV). Treatment of alcohol (XV) with Ts2O and Et3N in dichloromethane affords tosylate (XVI), which is converted into derivative (XVII) by condensation with intermediate (VIII) by means of KOtBu in dimethylacetamide (DMA). Debenzylation of (XVII) by hydrogenation over Pd/C in EtOH yields alcohol (XVIII), which is finally reduced with LiAlH4 in THF and hydrolyzed with HCl in dioxane to give the desired compound. Alternatively, the final product can be obtained by condensation of bromo derivative (XIX) with intermediate (VIII) by means of KOtBu in dimethylacetamide (DMA), furnishing compound (XX), which is finally reduced with LiAlH4 in THF and hydrolyzed with HCl.

合成路线图解说明:

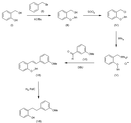
Treatment of salicyl alcohol (I) with benzyl bromide (II) in DMF in the presence of KOtBu affords benzyloxybenzyl alcohol (III), which is converted into its chloride form (IV) by means of SOCl2 in THF. Reaction of (IV) with PPh3 in refluxing toluene gives triphenyl phosphonium chloride derivative (V), which is then subjected to a Wittig reaction with aldehyde (VI) to yield olefine (VII). Catalytic hydrogenolysis of (VII) over Pd/C provides phenol derivative (VIII), which is then alkylated by reaction with tosylate (XVI) and KOtBu in dimethylacetamide to yield (XVII). Finally, ethoxycarbonyl derivative (XVII) is reduced by means of LiAlH4 in THF and converted into its hydrochloride form by treatment with HCl in dioxane. Intermediate (XVI) can be prepared as follows: Protection of 2(S)-pyrrolidinemethanol (IX) by reaction with ethyl chloroformate in the presence of Et3N in dichloromethane affords carbamate (XI), which is tosylated by means of Ts2O and Et3N in dichloromethane to yield (XII). One carbon elongation of (XII) by reaction with NaCN in DMF provides (XIII), which is then converted into ester (XIV) by means of H2SO4 in EtOH. Reduction of ester (XIV) with LiAlH4 in THF gives alcohol (XV), which is finally tosylated by reaction with Ts2O and Et3N in dichloromethane.

合成路线图解说明:

Synthesis of intermediate (VIII): Condensation of salicyl alcohol (I) with benzyl bromide (II) by means of KOtBu in DMF gives 2-benzyloxybenzyl alcohol (III), which is then converted into chloride (IV) by reaction with SOCl2 in THF. Treatment of derivative (IV) with PPh3 in refluxing toluene furnishes triphenylphosphonium chloride (V), which is then condensed with aldehyde (VI) by means of DBU in acetonitrile to afford benzyloxystilbene derivative (VII). Finally, intermediate (VIII) is obtained by hydrogenation of (VII) over Pd/C in EtOH.

合成路线图解说明:

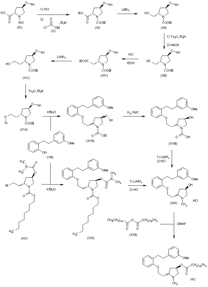
Synthesis of EN 296245: Deprotection and esterification of pyrrolidine (IX) by first treatment with HCl (gas) in EtOH followed by reaction with ethyl chloroformate (X) and Et3N in acetone/H2O, yields carbamate (XI), which is then reduced with LiBH4 in THF to give derivative (XII). Conversion of alcohol (XII) into cyano derivative (XIII) is then accomplished by first tosylation with p-toluenesulfonic anhydride (Ts2O) and Et3N in dichloromethane, followed by reaction with NaCN in DMF. Acidic ethanolysis of nitrile (XIII) by means of HCl in EtOH furnishes ethyl ester (XIV), which is reduced with LiAlH4 in THF to provide derivative (XV). Treatment of alcohol (XV) with Ts2O and Et3N in dichloromethane affords tosylate (XVI), which is converted into derivative (XVII) by condensation with intermediate (VIII) by means of KOtBu in dimethylacetamide (DMA). Debenzylation of (XVII) by hydrogenation over Pd/C in EtOH yields alcohol (XVIII), which is converted into alcohol (XIX) by treatment with LiAlH4 in THF, followed by hydrolysis with HCl in dioxane. Alternatively, derivative (XIX) can be obtained by condensation of bromo derivative (XX) with intermediate (VIII) by means of KOtBu in dimethylacetamide (DMA) to furnish compound (XXI), followed by reduction with LiAlH4 in THF and hydrolysis with HCl. Finally, esterification of (XIX) with lauric anhydride (XXII) by means of DMAP in pyridine yields the target product.

参考文献No.566790
标题:[2-(omega-Phenylalkyl)phenoxy]alkylamines II: Synthesis and selective serotonin-2 receptor binding
作者:Tanaka, N.; Goto, R.; Ito, R.; Hayakawa, M.; Sugidachi, A.; Ogawa, T.; Asai, F.; Fujimoto, K.
来源:Chem Pharm Bull 2000,48(2),245
合成路线图解说明:

Treatment of salicyl alcohol (I) with benzyl bromide (II) in DMF in the presence of KOtBu affords benzyloxybenzyl alcohol (III), which is converted into its chloride form (IV) by means of SOCl2 in THF. Reaction of (IV) with PPh3 in refluxing toluene gives triphenyl phosphonium chloride derivative (V), which is then subjected to a Wittig reaction with aldehyde (VI) to yield olefine (VII). Catalytic hydrogenolysis of (VII) over Pd/C provides phenol derivative (VIII), which is then alkylated by reaction with tosylate (XVI) and KOtBu in dimethylacetamide to yield (XVII). Finally, ethoxycarbonyl derivative (XVII) is reduced by means of LiAlH4 in THF and converted into its hydrochloride form by treatment with HCl in dioxane. Intermediate (XVI) can be prepared as follows: Protection of 2(S)-pyrrolidinemethanol (IX) by reaction with ethyl chloroformate in the presence of Et3N in dichloromethane affords carbamate (XI), which is tosylated by means of Ts2O and Et3N in dichloromethane to yield (XII). One carbon elongation of (XII) by reaction with NaCN in DMF provides (XIII), which is then converted into ester (XIV) by means of H2SO4 in EtOH. Reduction of ester (XIV) with LiAlH4 in THF gives alcohol (XV), which is finally tosylated by reaction with Ts2O and Et3N in dichloromethane.

Drug Information Express,Drug R&D,Chemical Database,Patent Search.
Copyright © 2006-2026 Drug Future. All rights reserved.Contact Us