【药物名称】
化学结构式(Chemical Structure):
参考文献No.566783
标题:Development of plasmin selective inhibitors and studies of their structure-activity relationship
作者:Okada, Y.; Matsumoto, Y.; Tsuda, Y.; Tada, M.; Wanaka, K.; Hujikata-Okunomiya, A.; Okamoto, S.
来源:Chem Pharm Bull 2000,48(2),184
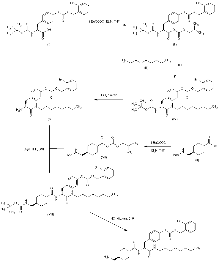
合成路线图解说明:

Activation of O-(2-bromobenzyloxycarbonyl)-N-Boc-L-tyrosine (I) as the mixed anhydride (II) with isobutyl chloroformate, followed by coupling with n-octylamine (III), furnished amide (IV). The Boc protecting group of (IV) was then removed by treatment with HCl in dioxan to give amine (V). After activation of trans-4-(aminomethyl)cyclohexanecarboxylic acid (VI) as the mixed anhydride (VII), its coupling with amine (V) provided adduct (VIII). Finally, the cleavage of the Boc protecting group of (VIII) by means of HCl in dioxan yielded the title compound.

Drug Information Express,Drug R&D,Chemical Database,Patent Search.
Copyright © 2006-2026 Drug Future. All rights reserved.Contact Us