【药物名称】RPR-118031A
化学结构式(Chemical Structure):
参考文献No.42428
标题:Substd. phenyl cpds. as endothelin antagonists
作者:Porter, B.; Astles, P.C.; Bridge, A.W.; McLay, I.M.; Van Sickle, A.P.; Walsh, R.J.A.; McCarthy, C.; Morley, A.D.; Halley, F.; Harris, N.V.; Majid, T.N.; Smith, C. (Rh鬾e-Poulenc Rorer Ltd.)
来源:US 6048893; US 6124343; WO 9622978
合成路线图解说明:

The title compound has been prepared by two related ways. The alkylation of 2-fluoro-4-hydroxybenzonitrile (I) with 3,4-(methylenedioxy)benzyl chloride (II) afforded ether (III). This was coupled with (R,S)-2-hydroxy-2-(2-methylphenyl)acetic acid (IV) in the presence of NaH in DMSO to produce the racemic adduct (V). Resolution was then achieved by fractional crystallization of the diastereoisomeric salts with (-)-ephedrine to furnish the desired (S)-enantiomer, which was finally isolated as the corresponding sodium salt.

合成路线图解说明:

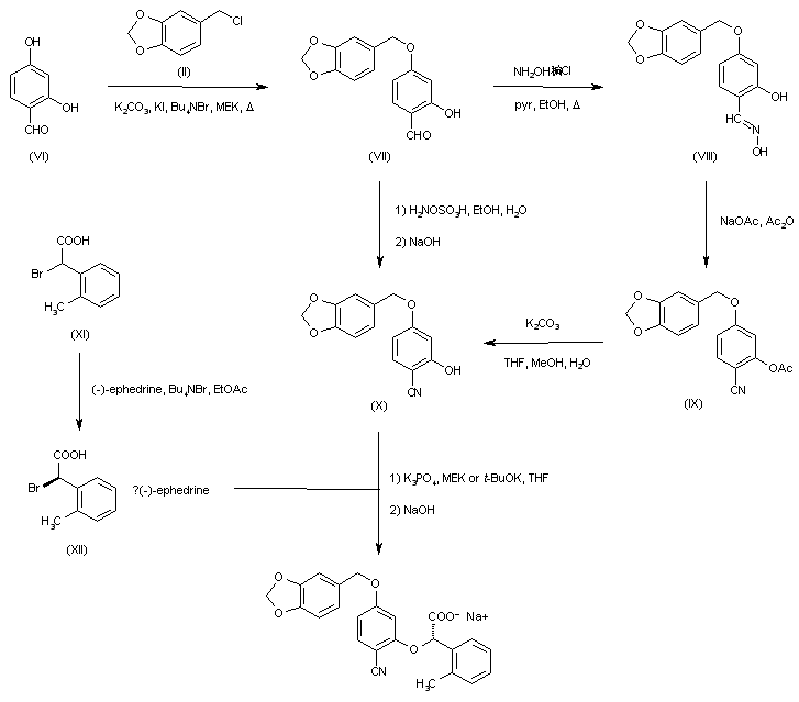
In a related procedure, alkylation of 2,4-dihydroxybenzaldehyde (VI) with chloride (II) gave ether (VII). Subsequent conversion of the aldehyde group of (VII) into the desired nitrile (X) was effected by the following sequence, including formation of the corresponding oxime (VIII), dehydration with concomitant acetylation using Ac2O, and then hydrolysis of acetate (IX) using K2CO3. Alternatively, aldehyde (VII) was directly converted to nitrile (X) by reaction with hydroxylamine-O-sulfonic acid, followed by basic treatment. Racemic alpha-bromo-(2-methylphenyl)acetic acid (XI) was resolved via formation of the corresponding salt with (-)-ephedrine (XII). Hydroxy nitrile (X) was then alkylated with the chiral bromide (XII), and the resulting compound was finally converted to the corresponding sodium salt.

合成路线图解说明:

The alkylation of 2-fluoro-4-hydroxybenzonitrile (I) with 4-picolyl chloride (II) afforded ether (III). This was coupled with (R,S)-2-hydroxy-2-(2-methylphenyl)acetic acid (IV) in the presence of NaH in DMSO to produce the racemic adduct (V). Resolution of (V) was then achieved by fractional crystallization of the diastereoisomeric salts with (-)-ephedrine to furnish the desired (S)-enantiomer, which was finally isolated as the corresponding sodium salt.

参考文献No.566485
标题:Selective ETA antagonists. 5. Discovery and structure-activity relationships of phenoxyphenylacetic acid derivatives
作者:Astles, P.C.; Brown, T.J.; Halley, F.; Handscombe, C.M.; Harris, N.V.; Majid, T.N.; McCarthy, C.; McLay, I.M.; Morley, A.; Porter, B.; Roach, A.G.; Sargent, C.; Smith, C.; Walsh, R.J.
来源:J Med Chem 2000,43(5),900
合成路线图解说明:

The title compound has been prepared by two related ways. The alkylation of 2-fluoro-4-hydroxybenzonitrile (I) with 3,4-(methylenedioxy)benzyl chloride (II) afforded ether (III). This was coupled with (R,S)-2-hydroxy-2-(2-methylphenyl)acetic acid (IV) in the presence of NaH in DMSO to produce the racemic adduct (V). Resolution was then achieved by fractional crystallization of the diastereoisomeric salts with (-)-ephedrine to furnish the desired (S)-enantiomer, which was finally isolated as the corresponding sodium salt.

合成路线图解说明:

The alkylation of 2-fluoro-4-hydroxybenzonitrile (I) with 4-picolyl chloride (II) afforded ether (III). This was coupled with (R,S)-2-hydroxy-2-(2-methylphenyl)acetic acid (IV) in the presence of NaH in DMSO to produce the racemic adduct (V). Resolution of (V) was then achieved by fractional crystallization of the diastereoisomeric salts with (-)-ephedrine to furnish the desired (S)-enantiomer, which was finally isolated as the corresponding sodium salt.

Drug Information Express,Drug R&D,Chemical Database,Patent Search.
Copyright © 2006-2026 Drug Future. All rights reserved.Contact Us