【药物名称】
化学结构式(Chemical Structure):
参考文献No.552679
标题:The design of (-)-(S)-nitrooxyethyl 1,4-dihydro-2,6-dimethyl-3-nitro-4-(2-trifluoromethylphenyl)pyridine-5-carboxylate: A cardioselective positive inotropic derivative of Bay K 8644
作者:Shan, R.; Knaus, E.E.
来源:Bioorg Med Chem Lett 1999,9(17),2613
合成路线图解说明:

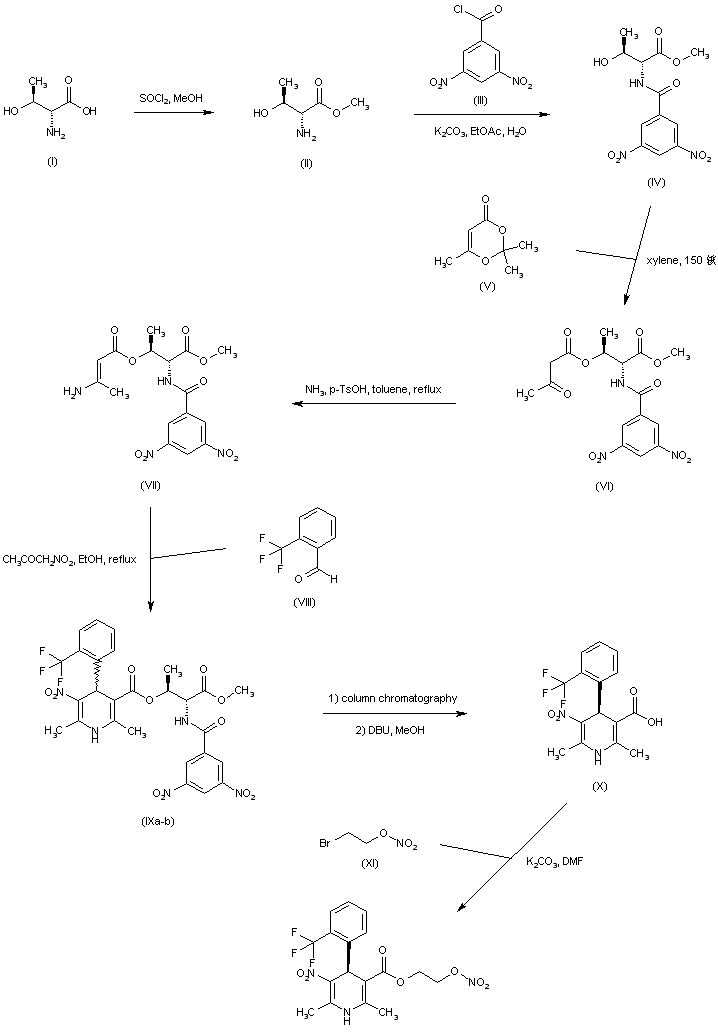
D-Threonine (I) was esterified by means of thionyl chloride in methanol, and the resultant amino ester (II) was subsequently acylated with 3,5-dinitrobenzoyl chloride (III) to afford amide (IV). Conversion of (IV) to the acetoacetate ester (VI) was effected by reaction with the diketene precursor 2,2,6-trimethyl-4H-1,3-dioxin-4-one (V) in boiling xylene. Treatment of keto ester (V) with ammonia in the presence of p-toluenesulfonic acid produced the aminocrotonate ester (VI). Dihydropyridine (IXa-b) was then obtained as a diastereomeric mixture by a modified Hantzsh condensation between enamine (VI), 2-trifluoromethylbenzaldehyde (VII) and nitroacetone. After chromatographic separation of the isomers, the chiral auxiliary group was removed by methanolysis in the presence of DBU. The desired (+)-(S)-dihydropyridinecarboxylic acid (X) was finally converted to the nitrooxyethyl ester by reaction with 2-bromoethyl nitrate (XI).

参考文献No.651729
标题:Syntheses, calcium channel agonist-antagonist modulation activities, nitric oxide release, and voltage-clamp studies of 2-nitrooxyethyl 1,4-dihydro-2,6-dimethyl-3-nitro-4-(2-trifluoromethylphenyl)pyridine-5-carboxylate enantiomers
作者:Shan, R.; Howlett, S.E.; Knaus, E.E.
来源:J Med Chem 2002,45(4),955
合成路线图解说明:

D-Threonine (I) was esterified by means of thionyl chloride in methanol, and the resultant amino ester (II) was subsequently acylated with 3,5-dinitrobenzoyl chloride (III) to afford amide (IV). Conversion of (IV) to the acetoacetate ester (VI) was effected by reaction with the diketene precursor 2,2,6-trimethyl-4H-1,3-dioxin-4-one (V) in boiling xylene. Treatment of keto ester (V) with ammonia in the presence of p-toluenesulfonic acid produced the aminocrotonate ester (VI). Dihydropyridine (IXa-b) was then obtained as a diastereomeric mixture by a modified Hantzsh condensation between enamine (VI), 2-trifluoromethylbenzaldehyde (VII) and nitroacetone. After chromatographic separation of the isomers, the chiral auxiliary group was removed by methanolysis in the presence of DBU. The desired (+)-(S)-dihydropyridinecarboxylic acid (X) was finally converted to the nitrooxyethyl ester by reaction with 2-bromoethyl nitrate (XI).

Drug Information Express,Drug R&D,Chemical Database,Patent Search.
Copyright © 2006-2026 Drug Future. All rights reserved.Contact Us