【药物名称】
化学结构式(Chemical Structure):
参考文献No.565102
标题:Novel Dmt-Tic dipeptide analogues as selective delta-opioid receptor antagonists
作者:Pag? D.; McGlory, A.; Mischki, T.; Schmidt, R.; Butterworth, J.; St-Onge, S.; Labarre, M.; Payza, K.; Brown, W.
来源:Bioorg Med Chem Lett 2000,10(2),167
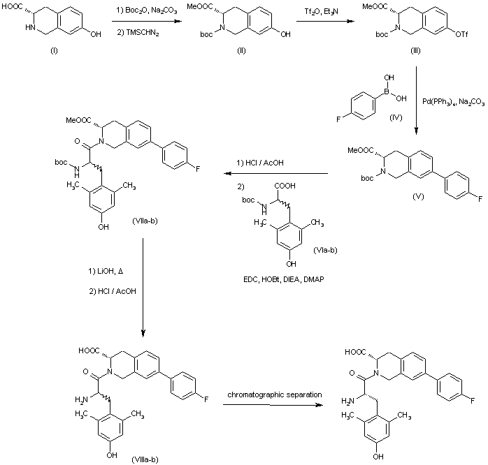
合成路线图解说明:

(S)-7-Hydroxy-1,2,3,4-tetrahydroqinoline-3-carboxylic acid (I) is N-protected by means of di-tert-butyldicarbonate (Boc2O) and Na2CO3 in H2O/dioxane and then converted into methyl ester derivative (II) by treatment with trimethylsilyl diazomethane (TMSCNH2). Reaction of (II) with triflic anhydride (Tf2O) and Et3N in CH2Cl2 yields triflate (III), which is then coupled to boronic acid (IV) by Suzuki cross-coupling reaction in the presence of Pd(PPh3)4 and Na2CO3 in toluene/EtOH, providing derivative (V). Boc removal in (V) by treatment with HCl/HOAc followed by coupling with N-Boc-2,6-dimethyl-D/L-tyrosine (VIa-b) by means of EDC, HOBt, DIEA and DMAP in DMF furnishes protected compound (VIIa-b). Compound (VIIa-b) is hydrolyzed with LiOH and N-deprotected by means of HCl/HOAc to afford a mixture of diastereomers (VIIIa-b) from which the target compound is separated by reverse-phase HPLC.

Drug Information Express,Drug R&D,Chemical Database,Patent Search.
Copyright © 2006-2026 Drug Future. All rights reserved.Contact Us