【药物名称】
化学结构式(Chemical Structure):
参考文献No.565104
标题:The flavanolignan silybin and its hemisynthetic derivatives, a novel series of potential modulators of P-glycoprotein
作者:Maitrejean, M.; Comte, G.; Barron, D.; El Kirat, K.; Conseil, G.; Di Pietro, A.
来源:Bioorg Med Chem Lett 2000,10(2),157
合成路线图解说明:

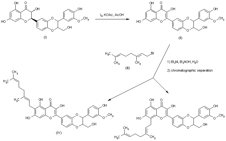
Commercial silybin (I) was oxidized to dehydrosilybin (II) employing iodine and KOAc in HOAc. Alkylation of (II) with geranyl bromide (III) in the presence of tetraethylammonium hydroxide provided a mixture of the desired 8-geranyl dehydrosilybin along with minor amounts of the 6-geranyl isomer (IV), which were separated by chromatography.

Drug Information Express,Drug R&D,Chemical Database,Patent Search.
Copyright © 2006-2026 Drug Future. All rights reserved.Contact Us