【药物名称】
化学结构式(Chemical Structure):
参考文献No.565103
标题:Coumarin inhibitors of gyrase B with N-propargyloxy-carbamate as an effective pyrrole bioisostere
作者:Periers, A.M.; Laurin, P.; Ferroud, D.; Haesslein, J.L.; Klich, M.; Dupuis-Hamelin, C.; Mauvais, P.; Lassaigne, P.; Bonnefoy, A.; Misicki, B.
来源:Bioorg Med Chem Lett 2000,10(2),161
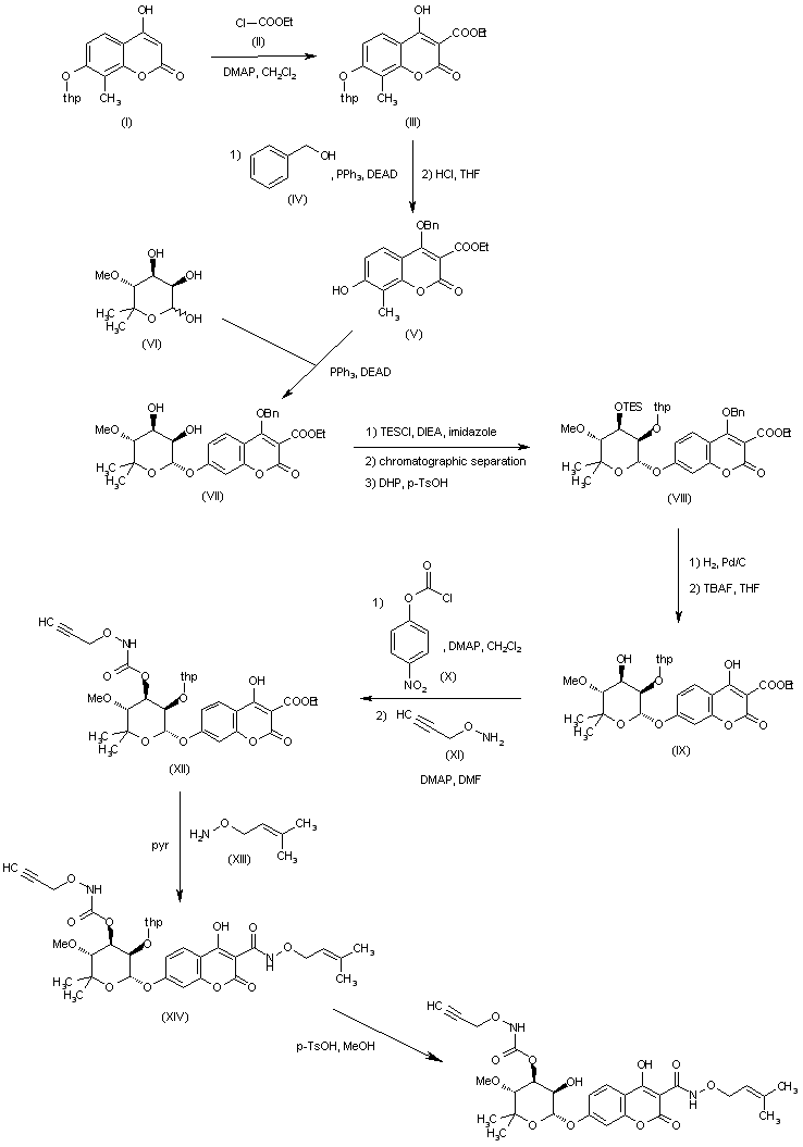
合成路线图解说明:

Treatment of protected derivative (I) with ethyl chloroformate (II) and DMAP in dichloromethane yields (III), which is then protected by Mitsunobu reaction with benzyl alcohol (IV) in the presence of PPh3 and DEAD to provide (V). Coumarin (V) undergoes Mitsunobu reaction with noviose (VI) to afford alpha-glycoside (VII), which is converted into (VIII) by protection in 3'-OH by means of TESCl, imidazole and DIEA in dichloromethane (chromatographic separation of 3'- and 2'-TES-protected regioisomers is needed), followed by protection of the 2'-OH by treatment with DHP and catalytic TsOH in dichloromethane. Hydrogenolysis of (VIII) over Pd/C followed by desilylation with TBAF in THF affords intermediate (IX), which is then converted into N'-alkoxycarbamate (XII) by reaction with (X) and DMAP in dichloromethane to yield the corresponding p-nitrophenylcarbonate activated form, followed by reaction with hydroxylamine (XI) in DMF and catalysis of DMAP. Exchange of the 3-ester group in (XII) by hydroxylamine (XIII) in pyridine gives coumarin-3-hydroxamate derivative (XIV), which is finally deprotected of its THP form in MeOH and catalysis of TsOH.

Drug Information Express,Drug R&D,Chemical Database,Patent Search.
Copyright © 2006-2026 Drug Future. All rights reserved.Contact Us