【药物名称】(3S,4S)-DHGA
化学结构式(Chemical Structure):
参考文献No.565107
标题:First enantiospecific synthesis of a 3,4-dihydroxy-L-glutamic acid[(3S,4S)-DHGA], a new mGluR1 agonist
作者:Dauban, P.; de Saint-Fuscien, C.; Acher, F.; Pr閦eau, L.; Brabet, I.; Pin, J.P.; Dodd, R.H.
来源:Bioorg Med Chem Lett 2000,10(2),129
合成路线图解说明:

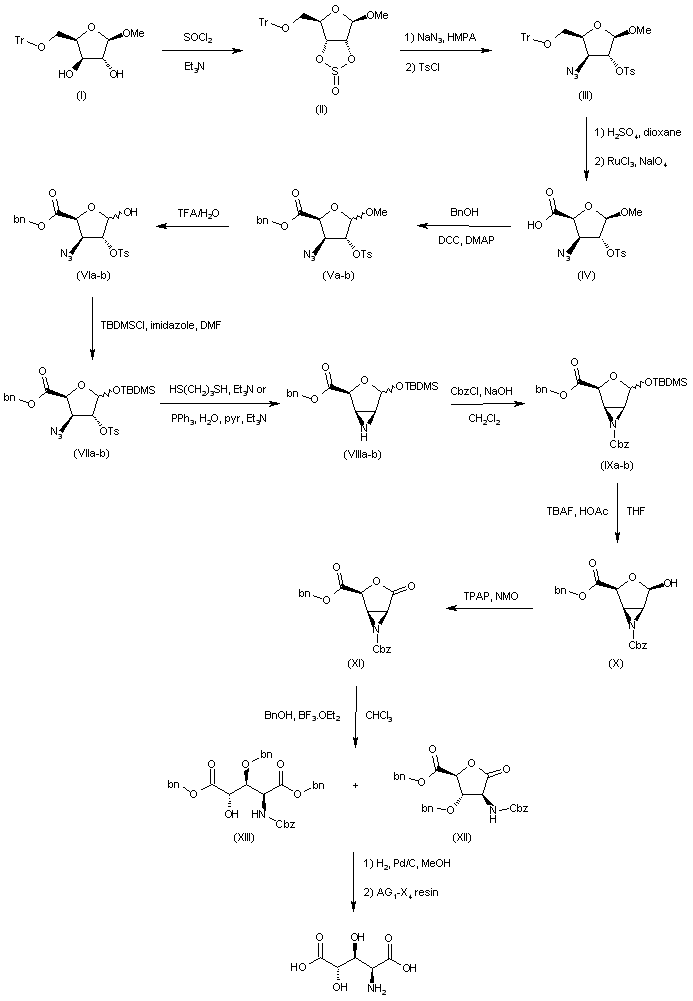
Treatment of trityl-protected ribofuranoside derivative (I) with SOCl2 and Et3N affords intermediate (II), which is then subjected to a nucleophilic substitution with NaN3 in HMPA and to tosylation with p-TsCl in pyridine to provide (III). Trityl removal of (III) by treatment with H2SO4 in dioxane followed by Sharpless oxidation of the free hydroxyl group with RuCl3 and NaIO4, yields uronic acid derivative (IV), which is then protected with benzyl alcohol, DCC and catalytic DMAP in CH2Cl2 to yield benzyl ester (V). Hydrolysis of (V) with aqueous TFA affords furanose (VI), which is silylated by means of TBS-Cl and imidazole in DMF to provide (VII). Reduction of the azide moiety of (VII) by treatment with 1,3-propanedithiol and Et3N in MeOH, followed by cyclization with Et3N, in DMF gives (VIII). Alternatively, aziridine (VIII) can be obtained by heating (VII) in pyridine in the presence of PPh3, H2O and Et3N. Treatment of (VIII) with Cbz-Cl in CH2Cl2 and aqueous NaOH yields a mixture of alpha- and beta-anomers (IX), which is desilylated without separation step by using tetrabutyl ammonium fluoride (TBAF) in THF in the presence of HOAc to provide beta-hydroxy anomer (X). Oxidation of (X) by means of tetrapropylammonium perruthenate (TPAP) and N-methylmorpholine N-oxide (NMO) in acetonitrile allows obtaining aziridino-gamma-lactone (XI), which then reacts with benzyl alcohol and BF3稥t2O in CHCl3 to give amino acid (XIII) and its lactonized derivative (XII). Both products are finally deprotected by hydrogenolysis over Pd/C in MeOH and the resulting products are separated by a basic anion exchange column (AG1-X4).

参考文献No.566589
标题:Application of 2,3-aziridino-gamma-lactone methodology toward the enantiospecific synthesis of the (3S,4S) isomer of dihydroxy-L-glutamic acid
作者:Dauban, P.; et al.
来源:Tetrahedron 1999,55(24),7589
合成路线图解说明:

Treatment of trityl-protected ribofuranoside derivative (I) with SOCl2 and Et3N affords intermediate (II), which is then subjected to a nucleophilic substitution with NaN3 in HMPA and to tosylation with p-TsCl in pyridine to provide (III). Trityl removal of (III) by treatment with H2SO4 in dioxane followed by Sharpless oxidation of the free hydroxyl group with RuCl3 and NaIO4, yields uronic acid derivative (IV), which is then protected with benzyl alcohol, DCC and catalytic DMAP in CH2Cl2 to yield benzyl ester (V). Hydrolysis of (V) with aqueous TFA affords furanose (VI), which is silylated by means of TBS-Cl and imidazole in DMF to provide (VII). Reduction of the azide moiety of (VII) by treatment with 1,3-propanedithiol and Et3N in MeOH, followed by cyclization with Et3N, in DMF gives (VIII). Alternatively, aziridine (VIII) can be obtained by heating (VII) in pyridine in the presence of PPh3, H2O and Et3N. Treatment of (VIII) with Cbz-Cl in CH2Cl2 and aqueous NaOH yields a mixture of alpha- and beta-anomers (IX), which is desilylated without separation step by using tetrabutyl ammonium fluoride (TBAF) in THF in the presence of HOAc to provide beta-hydroxy anomer (X). Oxidation of (X) by means of tetrapropylammonium perruthenate (TPAP) and N-methylmorpholine N-oxide (NMO) in acetonitrile allows obtaining aziridino-gamma-lactone (XI), which then reacts with benzyl alcohol and BF3稥t2O in CHCl3 to give amino acid (XIII) and its lactonized derivative (XII). Both products are finally deprotected by hydrogenolysis over Pd/C in MeOH and the resulting products are separated by a basic anion exchange column (AG1-X4).

参考文献No.605416
标题:Synthesis of optically pure 3,4-disubstituted L-glutamates from a novel 2,3-arizidino-gamma-lactone 4-carboxylate derivative
作者:Dauba, P.; et al.
来源:J Org Chem 1996,61(7),2488
合成路线图解说明:

Treatment of trityl-protected ribofuranoside derivative (I) with SOCl2 and Et3N affords intermediate (II), which is then subjected to a nucleophilic substitution with NaN3 in HMPA and to tosylation with p-TsCl in pyridine to provide (III). Trityl removal of (III) by treatment with H2SO4 in dioxane followed by Sharpless oxidation of the free hydroxyl group with RuCl3 and NaIO4, yields uronic acid derivative (IV), which is then protected with benzyl alcohol, DCC and catalytic DMAP in CH2Cl2 to yield benzyl ester (V). Hydrolysis of (V) with aqueous TFA affords furanose (VI), which is silylated by means of TBS-Cl and imidazole in DMF to provide (VII). Reduction of the azide moiety of (VII) by treatment with 1,3-propanedithiol and Et3N in MeOH, followed by cyclization with Et3N, in DMF gives (VIII). Alternatively, aziridine (VIII) can be obtained by heating (VII) in pyridine in the presence of PPh3, H2O and Et3N. Treatment of (VIII) with Cbz-Cl in CH2Cl2 and aqueous NaOH yields a mixture of alpha- and beta-anomers (IX), which is desilylated without separation step by using tetrabutyl ammonium fluoride (TBAF) in THF in the presence of HOAc to provide beta-hydroxy anomer (X). Oxidation of (X) by means of tetrapropylammonium perruthenate (TPAP) and N-methylmorpholine N-oxide (NMO) in acetonitrile allows obtaining aziridino-gamma-lactone (XI), which then reacts with benzyl alcohol and BF3稥t2O in CHCl3 to give amino acid (XIII) and its lactonized derivative (XII). Both products are finally deprotected by hydrogenolysis over Pd/C in MeOH and the resulting products are separated by a basic anion exchange column (AG1-X4).

Drug Information Express,Drug R&D,Chemical Database,Patent Search.
Copyright © 2006-2026 Drug Future. All rights reserved.Contact Us