【药物名称】
化学结构式(Chemical Structure):
参考文献No.565110
标题:Synthesis and antibacterial activity of new carbapenems containing isoxazole moiety
作者:Kang, Y.K.; Shin, K.J.; Yoo, K.H.; Seo, K.J.; Hong, C.Y.; Lee, C.S.; Park, S.Y.; Kim, D.J.; Park, S.W.
来源:Bioorg Med Chem Lett 2000,10(2),95
合成路线图解说明:

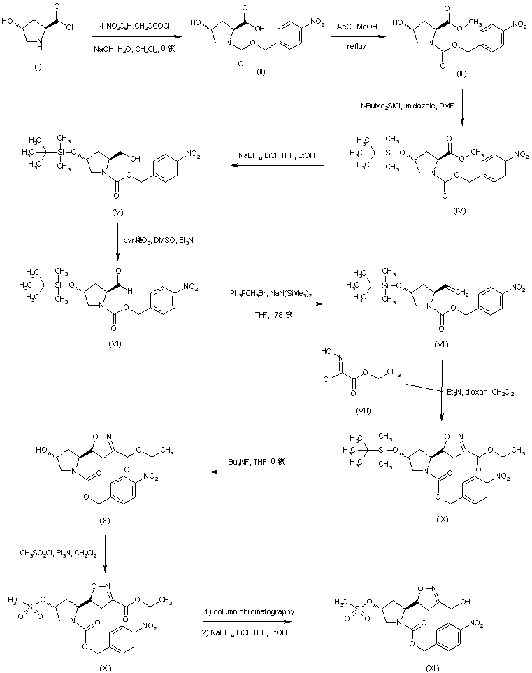
Treatment of trans-4-hydroxy-L-proline (I) with p-nitrobenzyl chloroformate gave the N-protected 4-hydroxyproline (II), which was esterified to afford the N-protected methyl ester (II). Protection of the hydroxyl group of (III) with t-butyl-dimethylsilyl chloride in the presence of imidazole, followed by reduction of the resulting ester (IV) with lithium borohydride, provided the alcohol (V). This was oxidized using pyridine-sulfur trioxide complex to give the formylpyrrolidine (VI). The vinylpyrrolidine (VII) was obtained by Wittig reaction of aldehyde (VI) with methylene triphenylphosphorane. Dipolar cycloaddition of the nitrile oxide resulting from ethyl chlorooximidoacetate (VIII) and Et3N to vinylpyrrolidine (VII) gave iso-oxazolidine (IX) as a mixture of diastereoisomers. After desilylation of (IX) with tetrabutylammonium fluoride, the resulting alcohol (X) was converted into the diastereomeric mixture of mesylates (XI). Chromatographic separation of the required isomer, followed by reduction with LiBH4, yielded alcohol (XII).

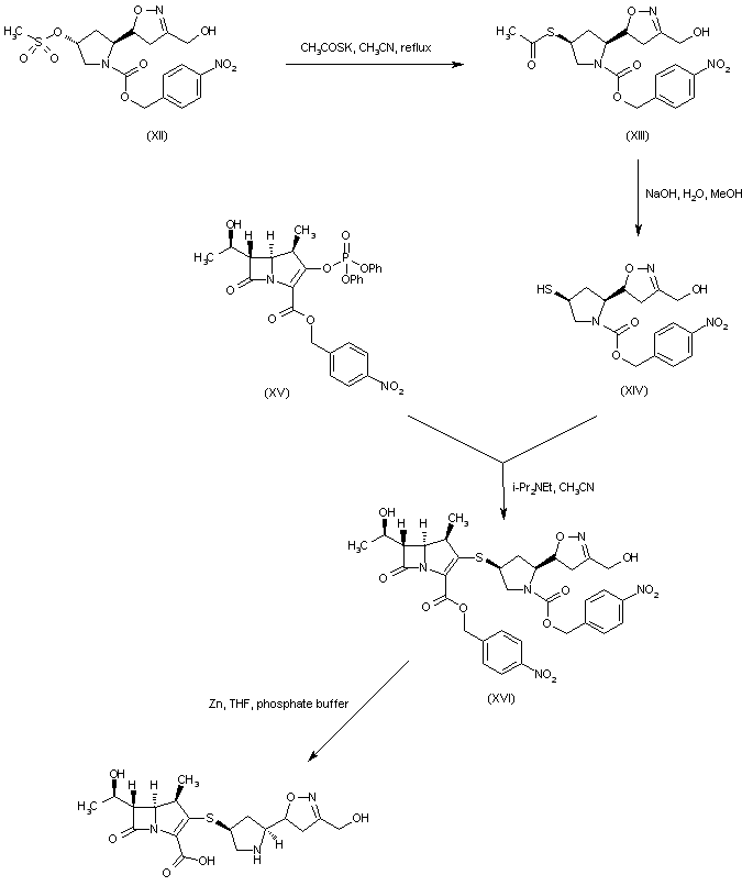
合成路线图解说明:

Displacement of the mesylate group of (XII) with potassium thioacetate gave thioester (XIII), which was further hydrolyzed to thiol (XIV). This was condensed with enol phosphate (XV) to afford the protected 1-methylcarbapenem (XVI). Finally, deprotection of the p-nitrobenzyl groups of (XVI) by zinc powder in the presence of phosphate buffer (pH 6.0) provided the title compound.

Drug Information Express,Drug R&D,Chemical Database,Patent Search.
Copyright © 2006-2026 Drug Future. All rights reserved.Contact Us