【药物名称】S-44
化学结构式(Chemical Structure):
参考文献No.564035
标题:Synthesis, antibacterial, antifungal and anti-HIV evaluation of Schiff and Mannich bases of isatin and its derivatives with triazole
作者:de Clercq, E.; Nath, G.; Pandeya, S.N.; Sriram, D.
来源:Arzneim-Forsch Drug Res 2000,50(1),55
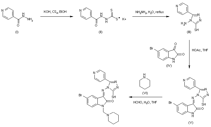
合成路线图解说明:

Isoniazid (I) was treated with carbon disulfide and KOH to give potassium 4-pyridyl dithiocarbazinate (II). Cyclization of (II) in the presence of hydrazine produced the amino triazole (III). This was condensed with 5-bromoisatin (IV), yielding the imino adduct (V). Finally, Mannich reaction of (V) with piperidine (VI) and formaldehyde furnished the title compound.

Drug Information Express,Drug R&D,Chemical Database,Patent Search.
Copyright © 2006-2026 Drug Future. All rights reserved.Contact Us