【药物名称】RXP-407
化学结构式(Chemical Structure):
参考文献No.41792
标题:N-Terminal site selective inhibitors of human angiotensin conversion enzyme (ACE)
作者:Yiotakis, A.; Menard, J.; Dive, V.; Michaud, A.; Ezan, E.; Corvol, P.; Cotton, J.; Chauvet, M.-T.; Cuniasse, P. (Commissariat a l'Energie Atomique; INSERM (Institut National de la Sante et de la Recherche Medicale))
来源:EP 1091966; WO 0001706
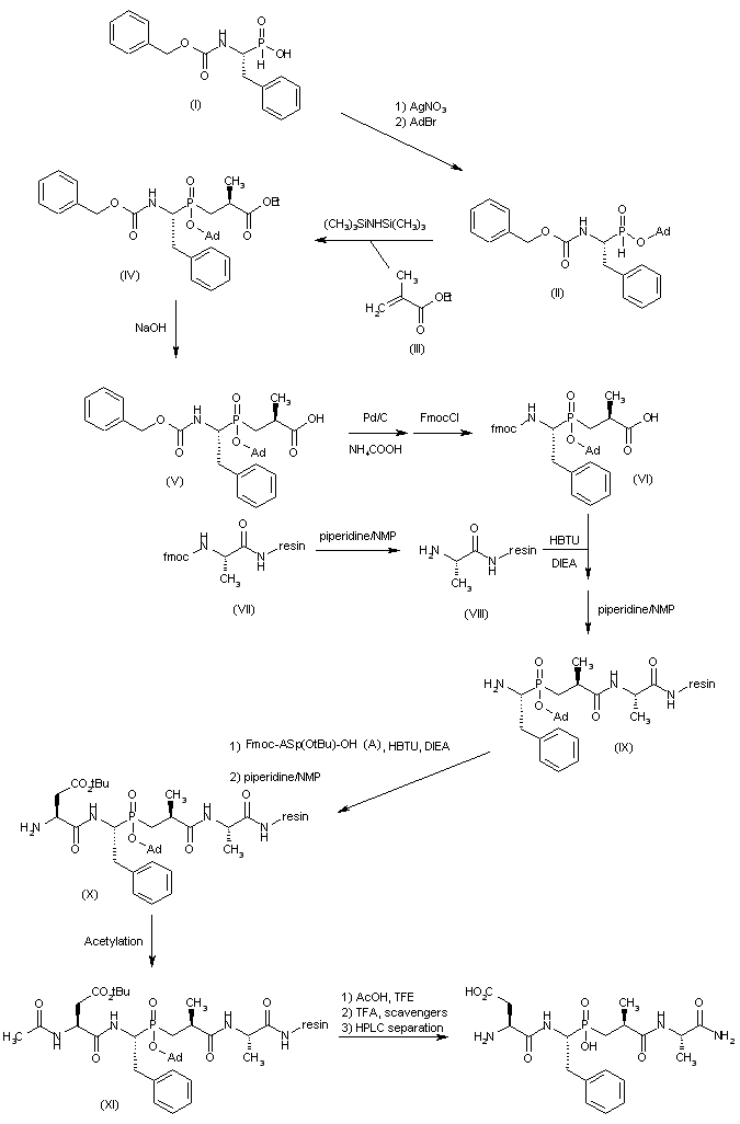
合成路线图解说明:

Protection of the hydroxyphosphinyl function of Z-Phe(PO2)H (I) by treatment with AgNO3 and 1-adamantyl bromide (AdBr) affords protected compound (II). Treatment of (II) with ethyl methylacrylate (III) by means of hexamethyldisilazane provides compound (IV), which is then subjected to saponification with NaOH in EtOH, affording carboxylic acid (V). The Z protecting group of (V) is then removed with Pd/C and ammonium formate, and subsequent reaction with FmocCl in dioxane yields protected derivative (VI). Separately, on resin protected alanine (VII) is treated with piperidine/NMP for Fmoc removal to afford (VIII), which is then coupled with phosphinic derivative (VI) by means of HBTU/DIEA in NMP and then treated with piperidine/NMP for Fmoc removal, giving derivative (IX). Coupling between (IX) and FmocAsp(OtBu)OH by means of HBTU and DIEA in NMP followed by Fmoc removal with piperidine/NMP affords phosphinic peptide (X), which is then acetylated to give derivative (XI). Finally, the desired product is obtained after first treatment of (XI) with HOAc and trifluoroethanol (TFE) in CH2Cl2 for cleavage of the protected peptide from the resin, followed by removal of the protecting groups with TFA and scavengers (thioanisole, phenol, ethanedithiol and triisopropylsilane) in CH2Cl2/H2O and final separation of the diastereoisomeric forms of the resulting phosphinic peptides by HPLC.

参考文献No.643180
标题:Protection of the hydroxyphosphinyl function of phosphinic dipeptides by adamantyl. Application to the solid-phase synthesis of phosphinic peptides
作者:Yiotakis, A.; Vassiliou, S.; Jiracek, J.; Dive, V.
来源:J Org Chem 1996,61(19),6601
合成路线图解说明:

Protection of the hydroxyphosphinyl function of Z-Phe(PO2)H (I) by treatment with AgNO3 and 1-adamantyl bromide (AdBr) affords protected compound (II). Treatment of (II) with ethyl methylacrylate (III) by means of hexamethyldisilazane provides compound (IV), which is then subjected to saponification with NaOH in EtOH, affording carboxylic acid (V). The Z protecting group of (V) is then removed with Pd/C and ammonium formate, and subsequent reaction with FmocCl in dioxane yields protected derivative (VI). Separately, on resin protected alanine (VII) is treated with piperidine/NMP for Fmoc removal to afford (VIII), which is then coupled with phosphinic derivative (VI) by means of HBTU/DIEA in NMP and then treated with piperidine/NMP for Fmoc removal, giving derivative (IX). Coupling between (IX) and FmocAsp(OtBu)OH by means of HBTU and DIEA in NMP followed by Fmoc removal with piperidine/NMP affords phosphinic peptide (X), which is then acetylated to give derivative (XI). Finally, the desired product is obtained after first treatment of (XI) with HOAc and trifluoroethanol (TFE) in CH2Cl2 for cleavage of the protected peptide from the resin, followed by removal of the protecting groups with TFA and scavengers (thioanisole, phenol, ethanedithiol and triisopropylsilane) in CH2Cl2/H2O and final separation of the diastereoisomeric forms of the resulting phosphinic peptides by HPLC.

Drug Information Express,Drug R&D,Chemical Database,Patent Search.
Copyright © 2006-2026 Drug Future. All rights reserved.Contact Us