【药物名称】
化学结构式(Chemical Structure):
参考文献No.477814
标题:Synthesis of Tn, sialyl Tn and HIV-1-derived peptide antigen conjugates having a lipid A analog as an immunoadjuvant for synthetic vaccines
作者:Miyajima, K.; Nekado, T.; Ikeda, K.; Achiwa, K.
来源:Chem Pharm Bull 1998,46(11),1676
合成路线图解说明:

Intermediate (VII) was coupled with beta-alanine benzyl ester (VIII) to give amide (IX). After hydrogenolysis of the benzyl ester of (IX), the acetate esters were removed by treatment with ammonia in MeOH, THF.

参考文献No.563960
标题:Lipid A and related compounds. XXXVII. Determination of favorable binding linkages of lipid A analog to antigen moiety for synthetic vaccines
作者:Ikeda, K.; Miyajima, K.; Shimizu, T.; Achiwa, K.
来源:Chem Pharm Bull 2000,48(1),32
合成路线图解说明:

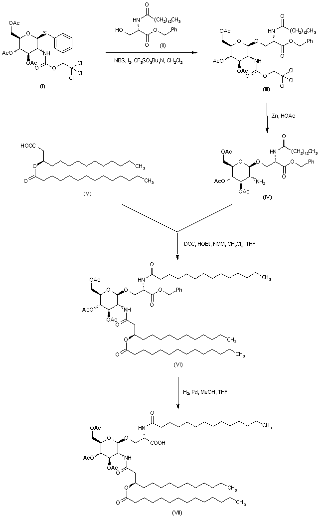
Phenylsulfanyl glycoside (I) was coupled with serine derivative (II) in the presence of N-bromosuccinimide, iodine and tetrabutylammonium triflate yielding the serine glycoside (III). Reductive cleavage of the trichloroethoxy carbonyl group of (III) with Zn and HOAc afforded amine (IV), which was acylated with (R)-3-(tetradecanoyloxy)tetradecanoic acid (V) using DCC and HOBt. Hydrogenolysis of the benzyl ester (VI) over palladium black provided carboxylic acid (VII).

合成路线图解说明:

Intermediate (VII) was coupled with beta-alanine benzyl ester (VIII) to give amide (IX). After hydrogenolysis of the benzyl ester of (IX), the acetate esters were removed by treatment with ammonia in MeOH, THF.

参考文献No.564413
标题:Synthesis of TN and sialyl TN antigen-lipid an analog conjugates for synthetic vaccines
作者:Miyajima, K.; Nekado, T.; Ikeda, K.; Achiwa, K.
来源:Chem Pharm Bull 1997,45(9),1544
合成路线图解说明:

Intermediate (VII) was coupled with beta-alanine benzyl ester (VIII) to give amide (IX). After hydrogenolysis of the benzyl ester of (IX), the acetate esters were removed by treatment with ammonia in MeOH, THF.

Drug Information Express,Drug R&D,Chemical Database,Patent Search.
Copyright © 2006-2026 Drug Future. All rights reserved.Contact Us