【药物名称】
化学结构式(Chemical Structure):
参考文献No.35627
标题:Use of conantokins
作者:McCabe, R.T.; Zhou, L.-M.; Layer, R.T. (Cognetix, Inc.)
来源:US 6172041; WO 9803189
合成路线图解说明:

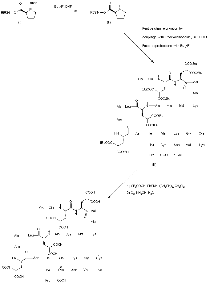
The title peptide was originally isolated from the venom of the marine cone snail Conus radiatus in small quantities. The compound has also been obtained by solid-phase peptide synthesis starting from Fmoc-L-proline linked to p-alkoxybenzylalcohol resin (I). Removal of the Fmoc group was effected by treatment with tetrabutylammonium fluoride in DMF. Chain elongation was carried out by coupling with the respective Fmoc-protected amino acids using diisopropyl carbodiimide and 1-hydroxybenzotriazole in CH2Cl2-DMF, followed by deprotection cycles with tetrabutylammonium fluoride. Gamma-carboxy glutamic acid was incorporated as the protected bis-tert-butyl ester. The final protected peptide resin (III) was liberated and deprotected by using a mixture of trifluoroacetic acid, thioanisole, water, ethanedithiol and dichloromethane, and the resulting peptide was air oxidized at a pH of 7.8 to form the required disulfide bridge.

参考文献No.42200
标题:Conantokins
作者:Shen, G.S.; Layer, R.T.; Colledge, C.; Abogadie, F.C.; Zhou, L.-M.; Cruz, L.J.; Rivier, J.E.; McCabe, R.T.; Hyllyard, D.R.; Jimenez, E.; Walker, C.; Olivera, B.M. (Cognetix, Inc.; University of Utah)
来源:WO 9803541
合成路线图解说明:

The title peptide was originally isolated from the venom of the marine cone snail Conus radiatus in small quantities. The compound has also been obtained by solid-phase peptide synthesis starting from Fmoc-L-proline linked to p-alkoxybenzylalcohol resin (I). Removal of the Fmoc group was effected by treatment with tetrabutylammonium fluoride in DMF. Chain elongation was carried out by coupling with the respective Fmoc-protected amino acids using diisopropyl carbodiimide and 1-hydroxybenzotriazole in CH2Cl2-DMF, followed by deprotection cycles with tetrabutylammonium fluoride. Gamma-carboxy glutamic acid was incorporated as the protected bis-tert-butyl ester. The final protected peptide resin (III) was liberated and deprotected by using a mixture of trifluoroacetic acid, thioanisole, water, ethanedithiol and dichloromethane, and the resulting peptide was air oxidized at a pH of 7.8 to form the required disulfide bridge.

参考文献No.564811
标题:In vitro and in vivo characterization of conantokin-R, a selective NMDA receptor antagonist isolated from the venom of the fish-hunting snail Conus radiatus
作者:White, H.S.; McCabe, R.T.; Armstrong, H.; Donevan, S.D.; Cruz, L.J.; Abogadie, F.C.; Torres, J.; Rivier, J.E.; Paarmann, I.; Hollmann, M.; Olivera, B.M.
来源:The Journal of Pharmacology and Experimental Therapeutics 2000,292(1),425
合成路线图解说明:

The title peptide was originally isolated from the venom of the marine cone snail Conus radiatus in small quantities. The compound has also been obtained by solid-phase peptide synthesis starting from Fmoc-L-proline linked to p-alkoxybenzylalcohol resin (I). Removal of the Fmoc group was effected by treatment with tetrabutylammonium fluoride in DMF. Chain elongation was carried out by coupling with the respective Fmoc-protected amino acids using diisopropyl carbodiimide and 1-hydroxybenzotriazole in CH2Cl2-DMF, followed by deprotection cycles with tetrabutylammonium fluoride. Gamma-carboxy glutamic acid was incorporated as the protected bis-tert-butyl ester. The final protected peptide resin (III) was liberated and deprotected by using a mixture of trifluoroacetic acid, thioanisole, water, ethanedithiol and dichloromethane, and the resulting peptide was air oxidized at a pH of 7.8 to form the required disulfide bridge.

Drug Information Express,Drug R&D,Chemical Database,Patent Search.
Copyright © 2006-2026 Drug Future. All rights reserved.Contact Us