【药物名称】TA-949
化学结构式(Chemical Structure):
参考文献No.17196
标题:1-Methylcarbapenem derivs. and process for preparation thereof
作者:Iwasaki, T.; Kondo, K.; Horikawa, H.; Yamaguchi, T.; Matsushita, T. (Tanabe Seiyaku Co., Ltd.)
来源:EP 0474243; JP 1992279588; US 5153187
合成路线图解说明:

The original procedure for the synthesis of the intermediate (R)-4-mercaptopyrrolidine-2-thione (IV) started from (S)-4-hydroxy-2-pyrrolidinone (I). Mitsunobu coupling with thioacetic acid produced the (R)-thioacetate ester (II). Conversion of (II) to the thiolactam (III) was achieved by treatment with Lawesson's reagent. The thioester group of (III) was then hydrolyzed by means of methanolic ammonia.

参考文献No.41884
标题:Process for preparing beta-lactam deriv. and synthetic intermediate thereof
作者:Horikawa, H.; Iwasaki, T.; Kondo, K. (Tanabe Seiyaku Co., Ltd.)
来源:EP 0559533
合成路线图解说明:

Oxocarbapenam (XII) was converted into vinyl phosphate (XIII) by treatment with diphenylphosphoryl chloride and diisopropylethylamine. Displacement of the phosphate group of (XIII) by 4-mercaptopyrrolidine-2-thione (IV) yielded carbapenem sulfide (XIV). After hydrogenolytic cleavage of the p-nitrobenzyl ester of (XIV) in the presence of Pd/C and KHCO3, the resulting potassium carboxylate salt (XV) was condensed with isobutyryloxymethyl iodide (XVI) to furnish the title compound.

合成路线图解说明:

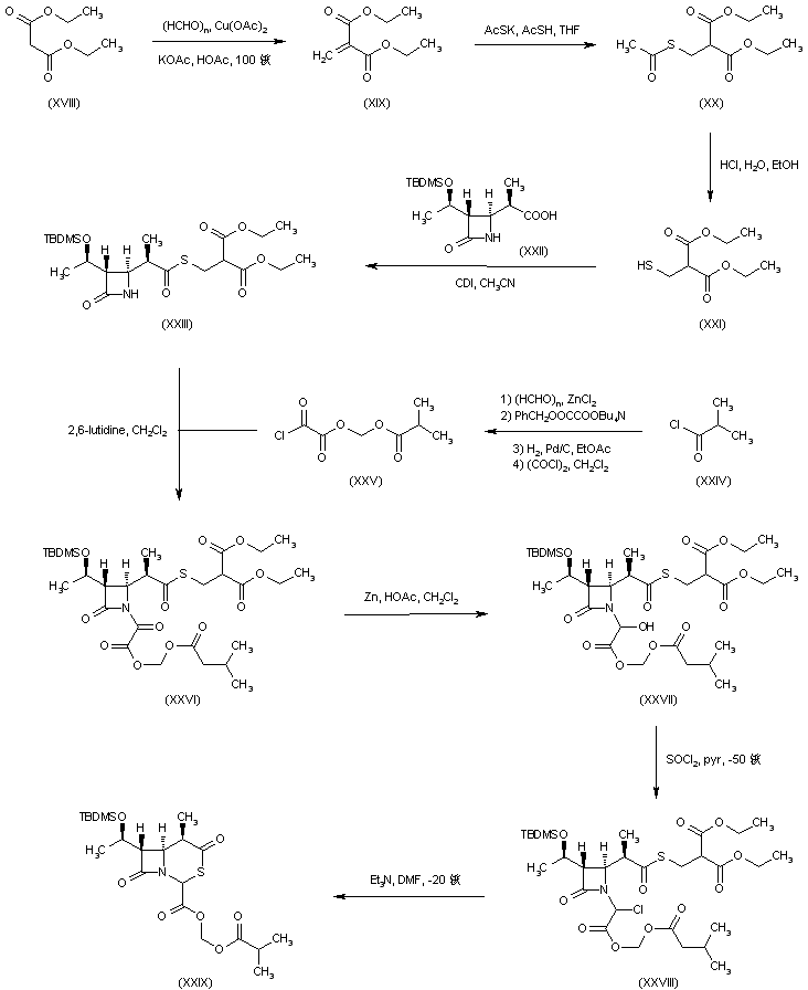
An alternative procedure for the preparation of the carbapenem system was based on the desulfurative ring contraction of a 1-aza-3-thiabicyclo[4.2.0]octane. The required diethyl (mercaptomethyl)malonate (XXI) was prepared by condensation of diethyl malonate (XVIII) with paraformaldehyde to give methylene malonate (XIX). Conjugate addition of thioacetic acid to (XIX) afforded thioester (XX) and subsequent acid hydrolysis yielded the desired mercaptomethyl derivative (XXI). Coupling of (XXI) with azetidinonepropionic acid (XXII) via activation with CDI generated thioester (XXIII). Oxalic acid chloride isobutyryloxymethyl ester (XXV) was obtained from isobutyryl chloride (XXIV) by condensation with paraformaldehyde, followed by reaction of the resulting chloromethylbutyrate with monobenzyl oxalate tetrabutylammonium salt, hydrogenolysis of the benzyl group and chlorination with oxalyl chloride. Coupling of this acid chloride (XXV) with azetidinone (XXIII) gave imide (XXVI), which was reduced to the hydroxy derivative (XXVII) with Zn and AcOH. After chlorination of (XXVII) with SOCl2 and pyridine, cleavage of the methylenemalonate group, followed by cyclization in the presence of Et3N gave rise to the bicyclic system (XXIX).

合成路线图解说明:

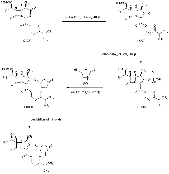
Ring contraction of (XXIX) by desulfurizing treatment with triphenylphosphine produced oxocarbapenam (XXX). This was converted to vinyl phosphate (XXXI) and then condensed with mercapto pyrrolidinethione (IV) to give thioether (XXXII). Desilylation of (XXXII) to produce the title compound was carried out by treatment with a variety of fluoride reagents including KF, NH4F稨F and CaF2.

参考文献No.41885
标题:Method for removing the protecting group for hydroxy group
作者:Horikawa, H.; Iwasaki, T.; Kondo, K. (Tanabe Seiyaku Co., Ltd.)
来源:EP 0567949
合成路线图解说明:

Ring contraction of (XXIX) by desulfurizing treatment with triphenylphosphine produced oxocarbapenam (XXX). This was converted to vinyl phosphate (XXXI) and then condensed with mercapto pyrrolidinethione (IV) to give thioether (XXXII). Desilylation of (XXXII) to produce the title compound was carried out by treatment with a variety of fluoride reagents including KF, NH4F稨F and CaF2.

参考文献No.563703
标题:Practical synthesis of (R)-4-mercaptopyrrolidine-2-thione from L-aspartic acid.Preparation of a novel orally active 1-beta-methylcarbapenem, TA-949
作者:Seki, M.; Yamanaka, T.; Kondo, K.
来源:J Org Chem 2000,65(2),517
合成路线图解说明:

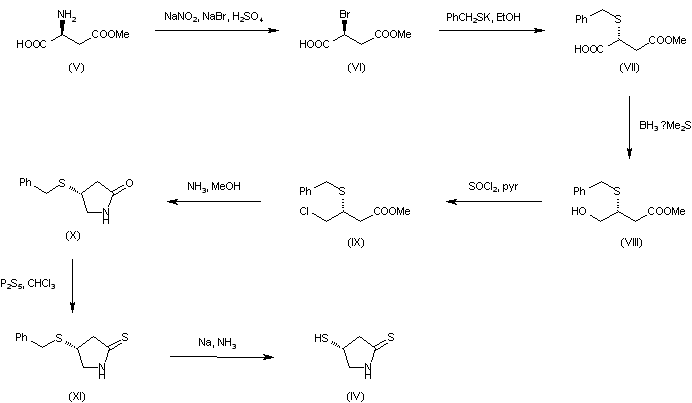
A new procedure suitable for the large-scale preparation of (IV) was further described. The chiral bromide (VI) was obtained by diazotization of L-aspartic acid beta-methyl ester (V) in the presence of KBr. Subsequent displacement of the bromide ion of (VI) by the potassium salt of benzyl mercaptan with inversion of the configuration yielded sulfide (VII). The carboxyl group of (VII) was then reduced to alcohol (VIII) using borane-dimethyl sulfide complex, and subsequent treatment with SOCl2 and pyridine afforded chloride (IX). Cyclization of (IX) with ammonia in MeOH generated pyrrolidinone (X), which was converted to the pyrrolidinethione (XI) by treatment with P2S5. Cleavage of the benzyl protecting group of (XI) with sodium in liquid ammonia then gave the required thiol (IV).

合成路线图解说明:

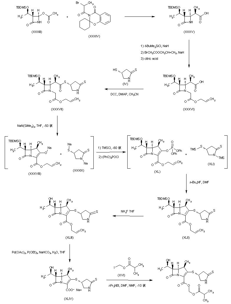
A new procedure based on the counterattack stategy was further developed. Azetidinonepropionic acid (XXXV) was available from acetoxy azetidinone (XXXIII) by coupling with benzoxazinone (XXXIV). After protection of (XXXV) with tert-butyldimethylsilyl chloride, alkylation with allyl bromoacetate yielded (XXXVI). DCC-mediated condensation of (XXXVI) with mercaptopyrrolidine (IV) produced thioester (XXXVII). Dieckman-type cyclization of (XXXVII) upon treatment with sodium bis(trimethylsilyl)amide produced carbapenem (XXXVIII) together with mercaptopyrrolidine (XXXIX). Treatment of the crude reaction mixture with chlorotrimethylsilane and subsequent addition of diphenylphosphoryl chloride generated the vinyl phosphate (XL) and the silylated mercaptopyrrolidine (XLI). The counterattack of the thiolate anion, liberated by desilylation of (XLI) with tetrabutylammonium fluoride, to the vinyl phosphate (XL) yielded the desired thioether (XLII). The hydroxyl protective group of (XLII) was removed by treatment with NH4F稨F to give (XLIII), and the allyl ester group of (XLIII) was further cleaved by means of palladium diacetate, producing carboxylic acid (XLIV). Finally, alkylation of the carboxylate group of (XLIV) with iodomethyl isobutyrate (XVI) gave rise to the title compound.

Drug Information Express,Drug R&D,Chemical Database,Patent Search.
Copyright © 2006-2026 Drug Future. All rights reserved.Contact Us